社区月报 | 开发者成长体系全新升级,技术成果不断涌现,超1000位开发者加入25天打卡营活动参与
社区月报 | 开发者成长体系全新升级,技术成果不断涌现,超1000位开发者加入25天打卡营活动参与
昇思MindSpore2024年6月份总结
01
概述
随着6月的结束,昇思MindSpore开源社区持续保持着高速发展的态度,在技术创新、社区活动、合作拓展等方面都取得了显著的成果。
在技术发展方面,MindSpore Flow开源谱神经算子及其在Burgers 1D/Navier-Stokes 2D/Navier-Stokes 3D问题上的应用案例;MindSpore Quantum重磅发布白皮书,其中在变分量子算法方面,MindSpore Quantum展现了强大的能力,使得研究人员能够高效地进行算法设计和优化。
在社区运作方面,完善昇思开发者成长体系,新增布道师预备队,让不同层级的开发者都能在社区找到成长的方向;昇思大模型平台上线基于昇思MindSpore系列教程,帮助开发者从零到一地学习昇思MindSpore框架知识、AI+实践应用及大模型实践等内容;推出三大开发者活动,包括昇思MindSpore模型开发挑战赛、CCF开源创新大赛昇思赛道、25天学习打卡营。
以下是6月昇思MindSpore社区进展的详细报告。
02
社区规模
截至6月底,昇思MindSpore面向全球开发者,凝聚产业力量,持续打造人工智能创新之源。社区秉持开放透明原则,稳步建设开源生态,规模和活跃度得到持续提升。
昇思MindSpore累计下载量为757万+,2024年6月份增长了19万+;
发展**3.2万+**多名核心贡献者;
累计产生ISSUE共38.8K、PR共95.5K。

03
社区大事件
**1、**完善昇思开发者成长体系,助力AI人才茁壮成长!
昇思MindSpore开源社区一直致力于打造属于开发者自己的开源社区。为了更好地助力昇思开发者成长,社区对成长体系进行了精心打磨和优化,新增布道师预备队,优化成长路线,皆在为开发者提供更清晰的成长路径、更丰富的学习资源和更具吸引力的激励机制。
截至目前,社区已有394位开发者认证各级别MindSpore优秀开发者/布道师,为昇思MindSpore社区贡献了多项高质量的内容,期待你的加入。

昇思开发者成长激励体系:https://www.mindspore.cn/community/developer
**2、**赋能学术创新,GAITC2024昇思MindSpore专题论坛成功举办
6月22日,GAITC 2024—昇思MindSpore赋能大模型&科学智能创新论坛在浙江杭州成功举办,100+专家学者、开发者共聚一堂,探讨大模型和科学智能的创新方向,分享基于昇思MindSpore的前沿学术创新成果和实践经验。6位来自高校与企业的专家,现场分享了人工智能技术在不同领域的研究进展。

**3、**昇思MindSpore学术基金项目结题评审和优秀项目颁奖活动在杭州成功举办
2024年6月20日,中国人工智能学会-昇思MindSpore学术基金项目结题答辩评审会在杭州成功举办。 国务院参事、中国工程院院士、中国人工智能学会理事长戴琼海、CAAI 副理事长、中国工程院院士何友和华为昇腾计算业务CTO周斌为获评中国人工智能学会-昇思MindSpore学术基金优秀项目的成果完成人颁奖,本次共计20个优秀项目的成果完成人获得奖项。中国人工智能学会-昇思MindSpore学术基金孵化的85个项目参会与结题答辩,汇报项目成果和基于MindSpore的科研实践经验,最终评选出20个优秀项目并在开幕式进行表彰,以激励学术界加强基于昇思的AI创新。

**4、**昇思 MindSpore“津门远航”开源实习计划正式启动
6月29日,“昇腾万里·齐聚津门”2024天津昇腾生态伙伴技术论坛暨昇腾AI创新大赛天津赛区启动仪式成功举办。会上,昇思MindSpore“津门远航”开源实习计划正式启动,该计划旨在激励在校学生积极投身开源社区,在实际的开源环境中提升实践能力,期望更多天津开发者和高校同学踊跃参与其中。

04
技术进展
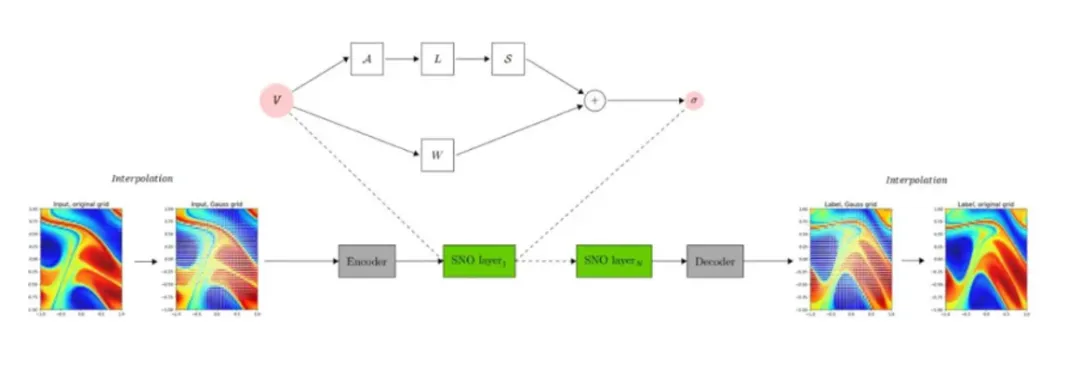
1**、**谱神经算子Spectral Neural Operator在MindSpore Flow开源
谱神经算子SNO利用多项式逼近代替了FNO中的傅里叶变换,仅通过基本的线性计算即可完成从物理场到谱空间的映射。其正交基的选择更为宽泛,可以根据实际问题针对性选取。在验证案例中,SNO尤其适用于二维Navier-Stokes方程的物理场预测问题。
目前,谱神经算子(Spectral Neural Operator,SNO)及其在Burgers 1D/Navier-Stokes 2D/Navier-Stokes 3D问题上的应用案例在MindSpore Flow开源,欢迎开发者们使用。

**2、**MindSpore Quantum白皮书重磅发布!
在当今的量子计算领域,设计高效的变分量子算法至关重要。MindSpore Quantum依托昇思MindSpore这一先进的开源深度学习训练和推理框架,展示了在设计和训练变分量子算法的卓越性能。特别是在变分量子算法方面,MindSpore Quantum展现了强大的能力,使得研究人员能够高效地进行算法设计和优化。为推动量子计算领域的前沿发展,MindSpore Quantum白皮书重磅发布!

白皮书:https://arxiv.org/pdf/2406.17248
05
社区动态
**1、**昇腾AI创新大赛2024昇思模型开发挑战赛正式发布
6月1日,昇思MindSpore模型开发挑战赛正式发布,作为昇腾AI创新大赛系列赛事之一,本次挑战赛的赛题分别有模型迁移赛、推理调优赛和模型微调赛,旨在培养昇思MindSpore开发者,鼓励开发者基于昇思MindSpore进行模型&算法创新与实践,并丰富昇思MindSpore开源社区生态。

**2、**10万奖金池!CCF开源创新大赛昇思MindSpore社区赛道火热开启!
第七届CCF开源创新大赛在国家自然科学基金委信息科学部的指导下,由中国计算机学会(CCF)主办,长沙理工大学、CCF 开源发展委员会联合承办。在本届赛事中,昇思MindSpore开源社区联合OpenI启智社区发布赛道——基于昇思MindSpore AI框架的套件及大模型应用创新赛,旨在发掘和培育具有创新性和实用性的人工智能应用。参赛者需基于昇思MindSpore AI框架和昇思套件,设计并开发一款具有创新性、实用性和可扩展性的人工智能应用。该方案应能够解决某一具体领域的实际问题,并展示出卓越的性能和效果。

**3、**昇思MindSpore 25天学习打卡营正式启动
6月15日,【昇思MindSpore 25天学习打卡营】正式启动,此次活动是昇思MindSpore开源社区为开发者打造的能力提升项目,课程内容涵盖AI框架基础知识、经典神经网络实践、AI+X应用实践,以及大模型理论与实践。截止目前,1000+开发者参与本次打卡营,累计发布学习心得超2000+篇。

**4、**累计观看过万,MindSpore SIG技术分享会线上直播分享
6月份,MindSpore Quantum SIG连续举办了3场量子计算组会一起开论文直播分享,分别邀请到吴军博士(中国科学技术大学)、杨恺雁博士(电子科技大学)、余莲会(电子科技大学)分享论文。MindSpore Flow&Earth SIG举办1场例会,邀请俄研所Julia工程师介绍谱神经算子SNO并演示案例。MindSpore易用性SIG举办1场技术分享会一起进行相关实践应用的分享,蔻享、B站累积观看次数达1万+。
**5、**昇思开发者高考寄语:考前深度学习金榜题名,考后“深度学习”改变世界
在高考来临之际,昇思MindSpore邀请了北京大学、武汉理工大学和西安电子科技大学的研究生及老师,分享如何利用开源社区和昇思MindSpore深度学习框架提升自身技能,以及为即将步入大学的学子提供了宝贵的学习和生活指导。无论是对未来充满期待还是压力重重,都能为各位学子提供不一样的视角和建议,助力大家更好地准备高考和大学生活。
**6、**2024昇腾AI金种子实训班走进智能制造行业-长沙站顺利举办
6月6日,2024昇腾AI金种子实训班·走进智能制造行业(长沙站)成功举办。会上,昇腾技术经理董港对昇思MindSpore AI框架以及MindSpore Transformers套件进行了详细剖析,并在实操环节,指导伙伴开发者基于MindSpore TransFormers套件完成了LLaMa2-7B 模型的微调、推理训练,帮助开发者在实践中掌握昇思MindSpore AI框架的大模型原生开发技能。

**7、**昇思MindSpore技术行•走进上海漕河泾新兴技术开发区活动顺利举办
6月21日,昇思MindSpore技术行•走进上海漕河泾新兴技术开发区活动成功举办。本次活动由昇思MindSpore开源社区指导,上海市漕河泾新兴技术开发区发展总公司、上海昇思生态创新中心主办,上海计算机软件技术开发中心、上海市计算机学会软件工程专委会共同协办。
为了加深学员们对MindSpore大模型开发的理解,昇思MindSpore技术布道师Geng和Ying老师在实践环节手把手带教,引导学员熟悉基于MindSpore TransFormers的大模型全流程实践,使技术实践与理论培训紧密结合,让大家直观感受到MindSpore大模型开发的强大潜力。

8、****“粤”见昇腾 | 昇腾AI开发者创享日·广东站圆满举办
6月29日,昇腾AI开发者创享日·广东站在广州成功举办。会上,来自昇腾AI的技术专家们,围绕昇思MindSpore 2.3版本技术升级做了详细解读,在AI框架能力上,昇思MindSpore提供多级编译的能力,同时支持静态图和动态图模式,兼顾模型的开发效率与执行性能,并通过MindStudio工具链,高效执行大模型的调试、调优,开发效率倍增。

06
技术分享
**1、**昇思MindSpore技术公开课第十三讲 多维度混合并行自动搜索优化策略
昇思MindSpore技术公开课大模型专题精彩继续!本期我们对第十三讲的课程多维度混合并行自动搜索优化策略知识点进行总结,主要从并行模式、时间损失模型建模、改进多维度二分法、实验现象、Automatic 3D Parallelism Strategies Search (APaSS/APSS)算法五个知识点进行讲解。

**2、**用AI勘探地质:全波形反演技术 (FWI) 原理与AI方法的应用
全波形反演技术 (Full waveform inversion, FWI)利用地震波模拟和数学优化方法,通过地表观测得到的地震数据来获取地下的地质特性分布,从而为后续的油气藏开发提供输入。
由于大规模的声波、弹性波方程数值求解需要巨大的HPC算力资源,因此工程中使用FWI技术十分昂贵。为了降低该技术的成本,目前学术界正在积极尝试利用AI方法辅助或替代现有的FWI技术。本文将首先介绍FWI方法的原理,然后简要概述当前AI方法在FWI当中的应用。

**3、**揭秘色彩魔法:智能感知背景下的文档图像阴影消除
随着智能手机的飞速发展和成像质量的提高,人们更加倾向于使用手机进行数字文档复制。然而,当光源被遮挡时,捕获的文档图像非常容易受到阴影的影响。阴影区域的低亮度降低了文档图像的质量和可读性,导致内容难以辨认,用户体验不愉快。因此,文档图像的阴影去除是各种视觉应用所需的图像处理任务。
本文首先引入颜色感知背景提取网络(CBENet)来估计阴影图像的空间变化背景。然后,提出了一种基于背景的文档图像阴影去除网络(BGShadowNet),该网络首先使用背景约束解码器预测粗阴影去除结果,然后将注意力模块BAModule和细节增强模块DEModule嵌入到编码器-解码器网络中,以改善粗糙结果,并产生具有一致外观和丰富细节纹理的最终无阴影结果。将本文的BGShadowNet与最先进的方法进行比较的实验证明了它的优越性。

**4、**Ising机的可能实现方式——基于超导电路光机械腔的拓扑晶格
光机械腔(Optomechanic Cavity)是一种通过辐射压将光与机械振子耦合的器件,目前已支持片上集成和光纤远距离互联,是演示新奇量子物理现象和实现量子精密测量的有力平台。本文将介绍该领域的一篇重要工作,作者分别构建了一维链和二维蜂窝结构的光机械芯片,实现了Su-Schrieffer-Heeger模型和应变石墨烯模型,并能对模式作直接测量。我们相信该技术与量子退火/量子启发式算法结合,可以为集成光机械系统用于先进计算提供启发。

07
感谢每一位****朋友、开发者的支持
在此感谢社区伙伴们、可爱的小孢子们以及昇思MindSpore SIG组成员们,因为大家的共同努力及辛勤奉献,昇思MindSpore才能不断成长与发展!同时我们对可能出现的不完善之处向您表示诚挚的歉意,并衷心感谢您的理解与支持。
截至2024年6月底,昇思MindSpore下载量已超过757万,未来,昇思MindSpore AI框架将持续致力于打造人工智能创新之源,凝聚产业力量,扎根AI根技术,使能大模型与科学智能,成为AI创新的首选框架。