开发者说 | 基于昇思MindSpore实现DDIM扩散模型
开发者说 | 基于昇思MindSpore实现DDIM扩散模型
作者:Adream
来源:昇思论坛
昇思MindSpore2024年技术帖分享大会圆满结束!全年收获80+高质量技术帖, 2025年全新升级,推出“2025年昇思干货小卖部,你投我就收!”,活动继续每月征集技术帖。本期技术文章由社区开发者Adrem输出并投稿。如果您对活动感兴趣,欢迎在昇思论坛投稿。
# 01
概述
DDIM 是基于 DDPM 改进的迭代隐式概率扩撒模型,核心目标是在保持生成质量的同时加速采样过程。通过引入非马尔可夫扩散过程和确定性采样机制,DDIM 允许在去噪时跳过部分时间步,可以显著减少计算量。其核心创新在于:
**1、可调方差参数:**通过控制反向过程的随机性,实现从完全随机(DDPM)到完全确定(无噪声)的采样模式;
**2、跳跃式采样:**无需遍历所有时间步,可直接在预设的关键时间点之间跳转,大幅提升生成速度。
DDIM 的主要特点包括:
**1、****非马尔可夫过程:**打破 DDPM 的严格马尔可夫链限制,允许当前状态依赖任意历史状态;
**2、****确定性采样:**通过设置方差为 0,消除采样过程的随机性,提升生成稳定性;
**3、****采样效率:**支持“跳步”采样,在 10-50 步内即可生成高质量样本(DDPM 需 1000 步)。
# 02
主要步骤
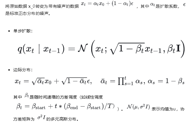
**1、**正向扩散过程
DDIM 的正向扩散过程与 DDPM 一致,都是为了在每个时间步 t 中,逐渐增加噪声的比例,




# 04
模型结构
DDIM 沿用 DDPM 的 U-Net 架构作为主干网络,包含对称的编码器-解码器路径和跳跃连接,但针对采样效率进行了轻量化调整:
**1、**网络设计细节
- **归一化与激活:**使用GroupNorm替代 BatchNorm 用以提升小批量训练稳定性,使用SiLU 激活函数替代 ReLU,增强非线性建模能力;
- **时间嵌入:**将时间步 t编码为高维向量(如正弦编码或可学习嵌入),通过线性层与各层特征融合;
- **跳跃连接:**保留原来的编码器-解码器的多尺度特征融合,确保细节恢复能力。
**2、**关键模块对比
- **采样层:**DDIM 的p_sample方法通过判断σₜ是否为 0,决定是否添加随机噪声,默认σₜ=0 时为纯确定性计算;
- **时间步处理:**支持任意时间步跳转,无需按顺序遍历,通过预设的时间步列表(如[T_s, T_{s-1}, ..., T_2, T_1])实现跳步采样。
# 05
MindSpo****re代码实现
# 核心采样逻辑
class DDIM(nn.Cell):
"""DDIM核心类,实现跳跃式确定性采样"""
def __init__(self, model, betas, T=1000, sample_steps=50):
super().__init__()
self.model = model # U-Net网络
self.T = T # 总时间步
self.sample_steps = sample_steps # 采样时使用的跳步步长
self.betas = betas
self.alphas = 1. - betas
self.alpha_bars = np.cumprod(self.alphas)
# 生成跳步时间序列(如从T到0,每隔T/sample_steps步取一个点)
self.sampling_timesteps = np.linspace(0, T-1, sample_steps, dtype=np.int64)[::-1]
def p_sample(self, x, t):
"""确定性去噪单步(σ=0)"""
alpha = self.alphas[t]
alpha_bar = self.alpha_bars[t]
sqrt_alpha = ops.sqrt(alpha)
sqrt_one_minus_alpha = ops.sqrt(1 - alpha)
# 预测噪声并估计原始数据
pred_noise = self.model(x, t)
pred_x0 = (x - sqrt_one_minus_alpha * pred_noise) / sqrt_alpha
# DDIM确定性采样公式
alpha_bar_prev = self.alpha_bars[t-1] if t > 0 else 1.0
sqrt_alpha_bar_prev = ops.sqrt(alpha_bar_prev)
sqrt_one_minus_alpha_bar_prev = ops.sqrt(1 - alpha_bar_prev)
x_prev = sqrt_alpha_bar_prev * pred_x0 + sqrt_one_minus_alpha_bar_prev * pred_noise
return x_prev
def construct(self, x):
"""跳步采样过程(从x_T到x_0)"""
for t in self.sampling_timesteps:
x = self.p_sample(x, t)
return x
# U-Net 改进
class UNet(nn.Cell):
"""带GroupNorm和SiLU的轻量化U-Net"""
def __init__(self, in_channels=3, channel_dim=128):
super().__init__()
self.time_embed = nn.SequentialCell(
nn.Embedding(1000, channel_dim),
nn.SiLU(),
nn.Dense(channel_dim, channel_dim * 4)
)
self.down = nn.SequentialCell(
nn.Conv2d(in_channels, channel_dim, 3, padding=1),
nn.GroupNorm(32, channel_dim),
nn.SiLU(),
nn.Conv2d(channel_dim, channel_dim * 2, 3, padding=1, stride=2),
nn.GroupNorm(32, channel_dim * 2),
nn.SiLU()
)
self.up = nn.SequentialCell(
nn.Conv2dTranspose(channel_dim * 2, channel_dim, 3, stride=2, padding=1),
nn.GroupNorm(32, channel_dim),
nn.SiLU(),
nn.Conv2d(channel_dim, in_channels, 3, padding=1),
nn.Tanh()
)
def construct(self, x, t):
t_emb = self.time_embed(t)
h = self.down(x) + t_emb.view(-1, h.shape[1], 1, 1)
return self.up(h)
参考链接
[1] 论文地址:https://arxiv.org/pdf/2010.02502