Idea Sharing: Exploring the Shared Features of AI4Science Across Quantums to Macro Scales
Idea Sharing: Exploring the Shared Features of AI4Science Across Quantums to Macro Scales
Background
The progress in artificial intelligence (AI) is driving a fresh paradigm to scientific breakthroughs. AI is revolutionizing the natural sciences by improving, accelerating, and facilitating our understanding of natural phenomena across different spatial and temporal scales. This has given rise to a new research field known as AI for Science or AI4Science. A recently published paper titled Artificial Intelligence for Science in Quantum, Atomistic, and Continuum Systems, co-authored by over 60 individuals, provides a comprehensive technical overview of a specific subfield of AI4Science, with a particular focus on the application of AI to quantum, atomistic, and continuum systems. And this blog presents the technical principles of the paper and provides a straightforward introduction to constructing an equivariant model using symmetry transformations.
1. Introduction
In 1929, Paul Adrien Maurice Dirac, a quantum physicist observed that "The underlying physical laws necessary for the mathematical theory of a large part of physics and the whole of chemistry are thus completely known, and the difficulty is only that the exact application of these laws leads to equations much too complicated to be soluble." This holds true for a wide range of equations, from the Schrödinger equation in quantum physics to the Navier-Stokes equations in fluid mechanics. Fortunately, deep learning techniques have proven to be effective in expediting the computational process for solving these equations. Conventional simulation methods can produce data that is suitable for training deep learning models, which in turn can make predictions much faster than conventional methods.
In other areas such as biology, the underlying biophysical processes are not fully understood and may not eventually be described by mathematical equations. In such cases, experimental data can be utilized to train deep learning models. For instance, protein prediction models, like AlphaFold, RoseTTAFold, and ESMFold, can attain computational accuracy equivalent to experimental results in predicting protein 3D structures, thanks to their training with 3D structures obtained from experiments.
1.1 Scientific Domains
Taking into account the spatial and temporal dimensions at which the physical world is modeled, the following figure provides a comprehensive overview of AI4Science research domains.

Small scale: Quantum mechanics uses wave functions to study physical phenomena at extremely small length scales, providing a complete description of the dynamics of quantum systems. These wave functions are typically obtained by solving the Schrödinger equation, which involves exponential complexity.
Density functional theory (DFT) and ab initio quantum chemistry methods are commonly employed first principles for computing electronic structures and physical properties of molecules and materials. These methods are further utilized to derive a range of other properties, such as electronic, mechanical, optical, magnetic, and catalytic properties of both molecules and solids. However, these methods are computationally expensive, thereby limiting their applicability to only small systems (approximately 1,000 atoms). And AI models can exactly contribute to enhancing both the speed and accuracy.
Medium scale: A small molecule, typically composed of tens to hundreds of atoms, plays a crucial role in regulatory and signal transmission in numerous chemical and biological processes.
Proteins are macromolecules comprised of one or more chains of amino acids. It is widely accepted that the amino acid sequences of proteins are responsible for their structural conformation, which ultimately dictates their biological functions.
Materials science studies the correlation between the processing, structure, and performance of materials.
And molecular interaction studies how molecules interact with each other to implement physical and biological functions, such as ligand-receptor and molecule-material interactions. In these domains, AI has made significant strides in the areas of molecular characterization and generation, molecular dynamics, protein structure prediction and design, material property prediction, and structure generation.
Large scale: Continuous mechanics uses partial differential equations (PDEs) to describe macroscopic physical processes that evolve over time and space, such as fluid dynamics, heat conduction, and electromagnetic wave propagation. AI methods have provided solutions to problems such as improving computing efficiency, generalization, and multi-resolution analysis.
1.2 Technical Domains of AI
The following outlines common technical challenges that persist across various domains in AI4Science.
Symmetry: Symmetries are strong inductive biases, and a key challenge of AI4Science is effectively integrating them into AI models.
Interpretability: Interpretability plays a crucial role in comprehending the principles governing physical phenomena within AI4Science.
Out-of-distribution (OOD) generalization and causality: To avoid generating training data for each different setting, it is necessary to identify causal factors capable of OOD generalization.
Foundation and large language models: Foundation models used for natural language processing (NLP) tasks are pre-trained using self-supervised or generalizable supervision techniques, enabling various downstream tasks to be performed with zero-shot or few-shot capability. This paper outlines how this paradigm expedites advancements in AI4Science.
Uncertainty quantification (UQ): It focuses on ensuring reliable decision-making despite uncertainties in data and models.
Education: To enhance learning and education, the paper presents a compilation of valuable resources and offers insights on how the community can effectively advocate for the integration of AI with science and education.
2. Symmetries, Equivariance, and Theory
In numerous scientific problems, an object of interest is typically situated within a 3D space, and any mathematical representation of the said object is dependent upon a reference coordinate system, resulting in coordinate-dependent representations. However, since there is no inherent coordinate system in nature, coordinate-independent representations are necessary. Therefore, a crucial obstacle in AI4Science lies in achieving invariance or equivariance when dealing with coordinate system transformations.
2.1 Overview
Symmetries refer to attributes of a physical phenomenon that remain unchanged under a transformation such as coordinate transformation. If certain symmetries exist in the system, the predicted target is naturally invariant or equivariant to the corresponding symmetry transformation. For example, the predicted energy values of 3D molecular structures remain constant regardless of their translation or rotation. An optional strategy for achieving symmetry-aware learning is to use data augmentation during supervised learning. Specifically, random symmetry transformations are performed on input data and labels, thereby compelling the model to generate near-equivariant predictions. However, this comes with many drawbacks.
(1) To account for the increased degree of freedom in selecting a coordinate system, the model requires a greater capacity to accurately represent a basic mode that is originally defined in a fixed coordinate system.
(2) Any symmetry transformations, such as translation, can produce an infinite number of equivalent samples, making it challenging for limited data augmentation to fully capture symmetries in data.
(3) In some situations, achieving accurate predictions may require a deep model. However, if each layer of the model does not maintain equivariance, it can impede the model's ability to produce equivariant predictions.
(4) To enable reliable use of machine learning in scientific applications such as molecular modeling, it is essential to ensure robust predictions under symmetry transformations.
To address the limitations of data augmentation, recent research has shifted towards developing machine learning models that adhere to symmetry requirements. Under the symmetry-adapted architecture, models can focus on learning target prediction tasks without data augmentation.
2.2 Equivariance Under Discrete Symmetry Transformations
This section provides an illustration of how AI models can maintain equivariance when undergoing discrete symmetry transformations. This example simulates the mapping of a scalar fluid field in a 2D space at the current moment to the next moment. When the input fluid field is rotated by 90°, 180°, or 270°, the output fluid field is rotated accordingly. The mathematical expression is as follows:

f represents a fluid field mapping function, while R represents a discrete rotation transformation. The equivariant group convolutional neural networks (G-CNNs) were proposed to better achieve equivariance under symmetry transformations. One of the simplest solutions is the lifting convolution.

It performs convolutions with kernels rotated at every angle in α to generate several feature maps that are stacked at the rotation degree α. Then, it applies a pooling operation over α-axis. As such, the output rotates accordingly when the input X rotates.
Due to pooling operations, G-CNNs maintain equivariant lines which do not cannot carry direction information. As a result, G-CNNs typically adopt the structure shown in the following figure.

The typical architecture begins with a lifting convolution layer, as explained above, followed by multiple equivariant group convolution layers. The final layer is a pooling layer that operates over the α-axis. In this way, intermediate feature layers are able to enhance their ability to detect patterns of features based on their respective positions and orientations. The equivariance of intermediate feature layers refers to the fact that these layers rotate in correspondence with rotation transformations, with the sequence of the rotation dimension also being rotated. The rotation properties of a convolution kernel in a group convolution layer also enable an output feature map to maintain this equivariant feature.
2.3-2.5 Equivariant Model Construction of 3D Continuous Transformations
Many scientific problems focus on continuous transformations in 3D spaces, such as translations and rotations of chemical compounds. Consequently, vectors formed by predicted molecular properties also rotate. These consecutive rotations R and translations t form elements in SE(3) (SE stands for the special Euclidean group in a 3D space), and these transformations can be represented as transformation matrices in vector spaces. The transformation matrices may vary across different vector spaces, but it is possible to decompose all these vector spaces into mutually independent subspaces. Each subspace has a same transformation rule, that is, vectors generated after all transformation elements in the group are applied to vectors in the subspace still exist in this subspace. Therefore, transformation elements in the group can be represented by an irreducible transformation matrix in the subspace. For example, scalars such as total energy and band gaps remain unchanged under actions of elements in SE(3), and the transformation matrix is represented as D^0(R)=1. However, the force field rotates with the transformation matrix being represented as D^1(R)=R. In a higher-dimensional vector space, D^l(R) represents a (2l+1)-dimensional array. These transformation matrices D^l(R) are referred to as l-order Wigner-D matrix of R, and corresponding subvector spaces become l-order irreducible and unchanged subspaces of SE(3), where vectors are referred to as l-order equivariant vectors. In translations, these vectors remain unchanged as their properties are solely linked to their relative positions.
Typically, spherical harmonics are employed to map 3D geometric information to features in the invariant subspace of SE(3). The set of spherical harmonics Y^l is used to map an input 3D vector to a (2l+1)-dimensional vector representing the coefficient of (2l+1) spherical harmonics bases. As shown in the following figure, due to the limited number of bases used, the delta function on the sphere represented by the 3D vector is expanded to some extent.

The spherical harmonic function has the following equivariant property.

D is the l-order Wigner-D matrix mentioned above. This decompresses a spatial function into a combination of equivariant vectors of different orders under rotation transformations.
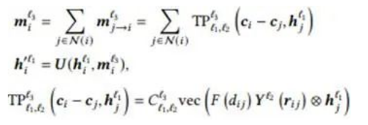
Assume that in a graph neural network that uses atomic coordinates as nodes, the node feature h is an l1-order equivariant vector. In this case, the following graph information transfer and update can ensure that the updated h remains equivariant.

The crucial step in this process is the tensor product (TP). vec represents the matrixization of vectors, and the coefficient C is a matrix with 2l3+1 rows and (2l1+1)(2l2+1) columns.

The node feature h is a vector in an I1-order irreducible and invariant subspace, and the spherical harmonic function Y of the direction r_ij at the edge is a vector in an l2-order irreducible and invariant subspace. The vector space produced by the direct product of two vectors is deducible, and the coefficient C is the conversion relationship from the deducible space to the l3 irreducible and invariant subspace. For example, a direct product space of two 3D vectors is as follows.

The rotation transformation matrix of the direct product space may be converted into a diagonal three-block matrix, indicating that the space may be decomposed into three irreducible and invariant subspaces whose dimensions are 1, 3, and 5. This is similar to the decomposition of the vector space, as shown in
The coefficient C serves as a transformation matrix that maps from the nine-dimensional space to the one-dimensional, three-dimensional, and five-dimensional spaces. While the preceding formulas only specify one value for l1, l2, and l3, which is an equivariant feature of a fixed order, the actual network's features may be a combination of features from different orders.
2.6-2.7 In the previous examples, the properties of group theory and spherical harmonic function were used. Basic knowledge about the group theory and spherical harmonic function is explained in detail in these two chapters of the paper.
2.8 Equivariant Networks Constructed by Steerable Kernels
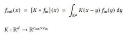
All equivariant network layers under discrete and continuous transformations can be represented in a form of unified variable convolutions (steerable CNNs).

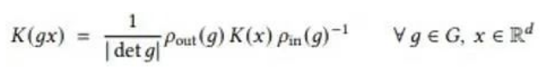
x and y are spatial coordinates, f_in(y) represents an input feature vector at the coordinate y, f_out(x) represents an output feature vector at the coordinate x, and K is transformation from an input feature space to an output feature space. Convolution operations ensure translation equivariance. However, to ensure equivariance under other spatial affine transformations, the convolution kernel K needs to meet the following symmetry constraint:

g is the transformation in a spatial transformation group, and ρ_in and ρ_out are representations (transformation matrices) of the transformation in input and output feature spaces, respectively.
This is all about theories related to symmetries and equivariance in this paper. If you are interested in applications in different domains, consult the subsequent chapters.
References
[1] Ren P, Rao C, Liu Y, et al. PhyCRNet: Physics-informed convolutional-recurrent network for solving spatiotemporal PDEs[J]. Computer Methods in Applied Mechanics and Engineering, 2022, 389: 114399.
[2]https://www.sciencedirect.com/science/article/abs/pii/S0045782521006514?via%3Dihub
[1] Xuan Zhang, Limei Wang, Jacob Helwig, et al. 2023. Artificial Intelligence for Science in Quantum, Atomistic, and Continuum Systems. arXiv: https://arxiv.org/abs/2307.08423
[2] Taco Cohen and Max Welling. 2016. Group Equivariant Convolutional Networks. In International Conference on Machine Learning. PMLR, 48:2990–2999.
[3] Nathaniel Thomas, Tess Smidt, Steven Kearnes, et al. 2018. Tensor field networks: Rotation-and translation-equivariant neural networks for 3d point clouds. arXiv: https://arxiv.org/abs/1802.08219
Maurice Weiler, Mario Geiger, Max Welling, et al. 2018. 3D Steerable CNNs: Learning Rotationally Equivariant Features in Volumetric Data. In Advances in Neural Information Processing Systems