[ "MindSpore Made Easy" ]
MindSpore Made Easy Dive Into MindSpore – LSTM Operator for Network Construction
July 1, 2022
Author: kaierlong
Source: https://blog.csdn.net/kaierlong/article/details/125537647?spm=1001.2014.3001.5502
Development Environment
MindSpore 1.7.0
Contents
Basic Principles
Parameter Description in MindSpore Official Document
Case Studies
Summary
References
1. Basic Principles
LSTM, which is short for long short term memory or long short term memory networks, was proposed by researchers to alleviate the gradient exploding and vanishing problems faced by conventional recurrent neural networks (RNNs) during training. Because of these problems, it is difficult for the RNNs to handle long-distance dependencies.
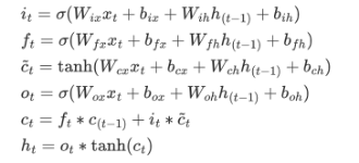
1.1 LSTM Formulas
The formulas of LSTM are as follows:

σ indicates the activation function of Sigmoid and * indicates multiplication. W and b are the learnable weights between the outputs and inputs.
1.2 LSTM Structure
For ease of understanding, a schematic structural diagram of the formulas in 1.1 is provided as follows:

1.3 LSTM Gating
1.3.1 Forget Gate
The formula of the forget gate is as follows.

Interpretation:
The forget gate (ft) determines how much information in the previous state should be discarded. It reads the content of ht-1 and xt. σ represents the Sigmoid function that outputs a value between 0 and 1. The value 0 indicates that the content in the previous cell state ct-1 should be discarded, while the value 1 indicates otherwise. The values between 0 and 1 indicate the ratios of the content that is retained in the previous cell state ct-1.
1.3.2 Input Gate
The formula of the input gate is as follows.

Interpretation:
The input gate (it) determines what information is retained in the cell state ct. It reads the content of ht-1 and xt. σ represents the Sigmoid function that outputs a value between 0 and 1.
There is another formula that works with the input gate, whose inputs are also ht-1 and xt, but it uses the tanh activation function. It is marked as (t) and called the candidate state.
1.3.3 Cell State
The formula of the cell state is as follows.

Interpretation:
ct is calculated based on ct-1.
Multiplication of the old cell state ct-1 and the forget gate determines how much the old cell state is retained and how much it is forgotten. Then, the input gate i(t) is multiplied by the candidate state (t), and the obtained result is added to the cell state. This indicates the amount of new information that is input to the cell state (ct).
1.3.4 Output Gate
The formula of the output gate is as follows.

Interpretation:
Similar to calculations on other gates, the output gate (ot) reads the content of ht-1 and xt, and uses the Sigmoid function to calculate the output gate value. Another formula is used to calculate the cell state by tanh to obtain a value between -1 and 1. Multiply the value by the result of the output gate to obtain the determined output ht, and you will get the new hidden state.
Notes
In the preceding formulas, xt is the current input, h(t-1) is the hidden state in the previous step, and c(t-1) is the cell state in the previous step.
When t=1, h(t-1) is h0 and c(t-1) is c0.
Generally, h0/c0 is set to 0, 1, or a fixed random value.
2. Parameter Description in MindSpore Official Document
The following figure shows the parameters in the corresponding document on the official website.

According to the official document, the LSTM operator in MindSpore, with dropout provided, supports multi-layer bidirectional settings and allows the first dimension of input data to be values other than batch_size.
The following uses cases to describe the operator inputs and outputs.
3. Case Studies
3.1 Single-Layer Forward LSTM
In this case, the data [4, 8, 4] is randomly generated, in which the value of batch_size is 4, the value of seq_length is fixed to 8, and the input dimension is 4.
The single-layer unidirectional LSTM is used, and the hidden layer size is 8.
In this case, a comparison test is performed during LSTM invocation. In one sample, the seq_length is the default None; while in the other sample, it is the valid length input_seq_length.
The sample code is as follows:
import numpy as np
from mindspore import dtype
from mindspore import Tensor
from mindspore.nn import LSTM
def single_layer_lstm():
random_data = np.random.rand(4, 8, 4)
seq_length = [3, 8, 5, 1]
input_seq_data = Tensor(random_data, dtype=dtype.float32)
input_seq_length = Tensor(seq_length, dtype=dtype.int32)
batch_size = 4
input_size = 4
hidden_size = 8
num_layers = 1
bidirectional = False
num_bi = 2 if bidirectional else 1
lstm = LSTM(
input_size=input_size, hidden_size=hidden_size, num_layers=num_layers,
has_bias=True, batch_first=True, dropout=0.0, bidirectional=bidirectional)
h0 = Tensor(np.ones([num_bi * num_layers, batch_size, hidden_size]).astype(np.float32))
c0 = Tensor(np.ones([num_bi * num_layers, batch_size, hidden_size]).astype(np.float32))
output_0, (hn_0, cn_0) = lstm(input_seq_data, (h0, c0))
output_1, (hn_1, cn_1) = lstm(input_seq_data, (h0, c0), input_seq_length)
print("====== single layer lstm output 0 shape: {} ======\n{}".format(output_0.shape, output_0), flush=True)
print("====== single layer lstm hn0 shape: {} ======\n{}".format(hn_0.shape, hn_0), flush=True)
print("====== single layer lstm cn0 shape: {} ======\n{}".format(cn_0.shape, cn_0), flush=True)
print("====== single layer lstm output 1 shape: {} ======\n{}".format(output_1.shape, output_1), flush=True)
print("====== single layer lstm hn1 shape: {} ======\n{}".format(hn_1.shape, hn_1), flush=True)
print("====== single layer lstm cn1 shape: {} ======\n{}".format(cn_1.shape, cn_1), flush=True)
The output of the sample code is as follows:
Output analysis
1. The dimensions of both output_0 and output_1 are [4, 8, 8], representing the batch_size, seq_length, and hidden_size, respectively.
2. output_0 corresponds to the situation where seq_length is None during invocation. That is, the default valid seq_length is 8 and none of the output values of the lengths of output_0 are all 0s.
3. output_1 corresponds to the situation where seq_length is [3, 8, 5, 1] (the set value) during invocation, and the output parts that exceed the valid length are all 0s.
4. hn and cn are outputs of the hidden state and cell state, respectively. The following uses hn_1 and cn_1 as examples.
5. The dimensions of hn_1 are [1, 4, 8]. The value 1 represents the unidirectional single layer (1 x 1), the value 4 represents the batch_size, and the value 8 represents the hidden_size.
6. It can be found that the output of hn_1 is consistent with that of the last dimension of output_1, that is, consistent with the output of the last dimension within the valid length.
7. cn_1 is the cell state of the last step of the valid length.
====== single layer lstm output 0 shape: (4, 8, 8) ======
[[[ 0.13193643 0.31574252 0.21773982 0.359429 0.23590101
0.28213733 0.24443595 0.37388077]
[-0.02988351 0.1415896 0.15356182 0.2834958 -0.00328176
0.3491612 0.12643641 0.142024 ]
[-0.09670443 0.03373189 0.1445203 0.19673887 0.06278481
0.33509392 -0.02579015 0.07650157]
[-0.15380219 -0.04781847 0.07795938 0.15893918 0.01305779
0.33979264 -0.00364386 0.04361304]
[-0.16254447 -0.06737433 0.05285644 0.10944269 0.01782622
0.34567034 -0.04204851 0.01285298]
[-0.21082401 -0.09526701 0.0265205 0.10617667 -0.03112434
0.33731762 -0.02207689 -0.00955394]
[-0.23450094 -0.09586379 0.02365175 0.09352495 -0.03744857
0.33376914 -0.04699665 -0.03528202]
[-0.24089803 -0.06166056 0.02839395 0.09916345 -0.04156012
0.31369895 -0.08876226 -0.0487675 ]]
[[ 0.10673305 0.30631748 0.22279048 0.35392687 0.270858
0.2800686 0.21576329 0.37215734]
[ 0.07373721 0.07924869 0.20754944 0.2059646 0.12672944
0.35556036 0.05576535 0.2124105 ]
[-0.09233213 0.02507205 0.11608997 0.23507075 0.0269099
0.3196378 0.00475359 0.05898073]
[-0.14939436 -0.04166775 0.07941992 0.15797664 0.02167228
0.34059638 -0.02956495 0.00525782]
[-0.18659307 -0.08790994 0.04543061 0.12085741 0.01649844
0.33063915 -0.03531799 -0.01156766]
[-0.22867033 -0.10603286 0.03872797 0.11688479 0.01904946
0.3056394 -0.05695718 -0.01623933]
[-0.21695574 -0.11095987 0.03115554 0.08672465 0.04249544
0.3152427 -0.07418983 -0.02036544]
[-0.21967101 -0.10076816 0.01712734 0.08198812 0.02862469
0.31535396 -0.09173042 -0.05647325]]
[[ 0.1493079 0.28768584 0.2575181 0.3199168 0.30599245
0.28865623 0.16678075 0.41237575]
[ 0.01445133 0.13631815 0.18265024 0.2577204 0.09361918
0.3227448 0.04080902 0.17163058]
[-0.1164555 0.05409181 0.1229048 0.24406306 0.02090637
0.31171325 -0.02868806 0.06015658]
[-0.12215493 -0.04073931 0.09229688 0.13461691 0.05322267
0.34697118 -0.04028781 0.05017967]
[-0.16058712 -0.02990636 0.06711683 0.13881728 0.04944531
0.30471358 -0.08764775 0.01227296]
[-0.17542893 -0.04518626 0.06441598 0.12666796 0.1039256
0.29512212 -0.12625514 -0.01764686]
[-0.18198647 -0.06205402 0.05437353 0.12312049 0.11571115
0.27589387 -0.13898477 -0.00659172]
[-0.18840623 -0.03089028 0.02871101 0.13332503 0.02779378
0.2934873 -0.12758468 -0.02508291]]
[[ 0.16055782 0.28248906 0.24979302 0.3381475 0.28849283
0.3085897 0.21882199 0.3911534 ]
[ 0.03212452 0.10363571 0.18571742 0.25555134 0.11808199
0.33315352 0.0612903 0.16566488]
[-0.09707587 0.08886775 0.130165 0.23324937 0.0596167
0.28433815 -0.05993269 0.06611289]
[-0.15705962 -0.00274712 0.09360209 0.18597823 0.04157853
0.32279128 -0.07580574 0.01155218]
[-0.15376413 -0.07929687 0.06302985 0.11465057 0.07184268
0.3261627 -0.05871713 0.04223134]
[-0.18791473 -0.07859336 0.02364462 0.12526496 -0.02513029
0.33071572 -0.03542359 -0.00976665]
[-0.23625109 -0.03007499 0.03267653 0.15940045 -0.08530897
0.30445266 -0.0852924 -0.04507463]
[-0.23499809 -0.07687293 0.03790941 0.08663946 -0.00264841
0.33423126 -0.06512782 0.01413365]]]
====== single layer lstm hn0 shape: (1, 4, 8) ======
[[[-0.24089803 -0.06166056 0.02839395 0.09916345 -0.04156012
0.31369895 -0.08876226 -0.0487675 ]
[-0.21967101 -0.10076816 0.01712734 0.08198812 0.02862469
0.31535396 -0.09173042 -0.05647325]
[-0.18840623 -0.03089028 0.02871101 0.13332503 0.02779378
0.2934873 -0.12758468 -0.02508291]
[-0.23499809 -0.07687293 0.03790941 0.08663946 -0.00264841
0.33423126 -0.06512782 0.01413365]]]
====== single layer lstm cn0 shape: (1, 4, 8) ======
[[[-0.72842515 -0.10623126 0.07748945 0.23840414 -0.0663506
0.82394135 -0.20612013 -0.11983471]
[-0.6431069 -0.17861958 0.04168103 0.20188545 0.0463764
0.73273325 -0.21914008 -0.13169488]
[-0.61163914 -0.05123866 0.07892742 0.32583922 0.04181815
0.79872614 -0.2969701 -0.0625343 ]
[-0.58037984 -0.15040846 0.09998614 0.24211554 -0.0044073
0.8616534 -0.1546249 0.03137078]]]
====== single layer lstm output 1 shape: (4, 8, 8) ======
[[[ 0.13193643 0.31574252 0.21773985 0.35942894 0.23590101
0.28213733 0.24443595 0.37388077]
[-0.02988352 0.1415896 0.15356182 0.28349578 -0.00328175
0.34916118 0.12643641 0.142024 ]
[-0.09670443 0.0337319 0.14452031 0.19673884 0.06278481
0.33509392 -0.02579015 0.07650157]
[ 0. 0. 0. 0. 0.
0. 0. 0. ]
[ 0. 0. 0. 0. 0.
0. 0. 0. ]
[ 0. 0. 0. 0. 0.
0. 0. 0. ]
[ 0. 0. 0. 0. 0.
0. 0. 0. ]
[ 0. 0. 0. 0. 0.
0. 0. 0. ]]
[[ 0.10673306 0.30631748 0.22279048 0.35392687 0.27085796
0.2800686 0.21576326 0.37215734]
[ 0.07373722 0.0792487 0.20754944 0.2059646 0.12672943
0.35556036 0.05576536 0.2124105 ]
[-0.09233214 0.02507207 0.11608997 0.23507075 0.02690989
0.3196378 0.00475359 0.05898073]
[-0.14939436 -0.04166774 0.07941992 0.15797664 0.02167228
0.34059638 -0.02956495 0.00525782]
[-0.18659307 -0.08790994 0.04543061 0.12085741 0.01649844
0.33063915 -0.03531799 -0.01156766]
[-0.22867033 -0.10603285 0.03872797 0.11688479 0.01904945
0.3056394 -0.05695718 -0.01623933]
[-0.21695574 -0.11095986 0.03115554 0.08672465 0.04249543
0.3152427 -0.07418983 -0.02036544]
[-0.21967097 -0.10076815 0.01712734 0.08198812 0.02862468
0.31535396 -0.09173042 -0.05647324]]
[[ 0.1493079 0.28768584 0.25751814 0.3199168 0.30599245
0.28865623 0.16678077 0.41237575]
[ 0.01445133 0.13631816 0.18265024 0.25772038 0.09361918
0.3227448 0.04080902 0.17163058]
[-0.1164555 0.05409183 0.1229048 0.24406303 0.02090637
0.31171325 -0.02868806 0.06015658]
[-0.12215493 -0.0407393 0.09229688 0.1346169 0.05322267
0.3469712 -0.0402878 0.05017967]
[-0.16058712 -0.02990635 0.06711683 0.13881728 0.0494453
0.30471358 -0.08764775 0.01227296]
[ 0. 0. 0. 0. 0.
0. 0. 0. ]
[ 0. 0. 0. 0. 0.
0. 0. 0. ]
[ 0. 0. 0. 0. 0.
0. 0. 0. ]]
[[ 0.16055782 0.2824891 0.24979301 0.33814746 0.28849283
0.30858967 0.21882202 0.3911534 ]
[ 0. 0. 0. 0. 0.
0. 0. 0. ]
[ 0. 0. 0. 0. 0.
0. 0. 0. ]
[ 0. 0. 0. 0. 0.
0. 0. 0. ]
[ 0. 0. 0. 0. 0.
0. 0. 0. ]
[ 0. 0. 0. 0. 0.
0. 0. 0. ]
[ 0. 0. 0. 0. 0.
0. 0. 0. ]
[ 0. 0. 0. 0. 0.
0. 0. 0. ]]]
====== single layer lstm hn1 shape: (1, 4, 8) ======
[[[-0.09670443 0.0337319 0.14452031 0.19673884 0.06278481
0.33509392 -0.02579015 0.07650157]
[-0.21967097 -0.10076815 0.01712734 0.08198812 0.02862468
0.31535396 -0.09173042 -0.05647324]
[-0.16058712 -0.02990635 0.06711683 0.13881728 0.0494453
0.30471358 -0.08764775 0.01227296]
[ 0.16055782 0.2824891 0.24979301 0.33814746 0.28849283
0.30858967 0.21882202 0.3911534 ]]]
====== single layer lstm cn1 shape: (1, 4, 8) ======
[[[-0.22198828 0.05788375 0.38487202 0.5277796 0.10692163
0.88817626 -0.06333658 0.15489307]
[-0.6431068 -0.17861956 0.04168103 0.20188545 0.04637639
0.73273325 -0.21914008 -0.13169487]
[-0.44337854 -0.05043292 0.17615467 0.36942852 0.0769525
0.8138213 -0.22219141 0.02737183]
[ 0.50136805 0.47527558 0.8696786 0.7511291 0.37594885
0.9162327 0.5345433 0.6333548 ]]]
3.2 Single-Layer Bidirectional LSTM
In this case, the data [4, 8, 4] is randomly generated, in which the value of batch_size is 4, the value of seq_length is fixed to 8, and the input dimension is 4.
The single-layer bidirectional LSTM is used, and the hidden layer size is 8.
In this case, a comparison test is performed during LSTM invocation. In one sample, the seq_length is the default None; while in the other sample, it is the valid length input_seq_length.
The sample code is as follows:
import numpy as np
from mindspore import dtype
from mindspore import Tensor
from mindspore.nn import LSTM
def single_layer_bi_lstm():
random_data = np.random.rand(4, 8, 4)
seq_length = [3, 8, 5, 1]
input_seq_data = Tensor(random_data, dtype=dtype.float32)
input_seq_length = Tensor(seq_length, dtype=dtype.int32)
batch_size = 4
input_size = 4
hidden_size = 8
num_layers = 1
bidirectional = True
num_bi = 2 if bidirectional else 1
lstm = LSTM(
input_size=input_size, hidden_size=hidden_size, num_layers=num_layers,
has_bias=True, batch_first=True, dropout=0.0, bidirectional=bidirectional)
h0 = Tensor(np.ones([num_bi * num_layers, batch_size, hidden_size]).astype(np.float32))
c0 = Tensor(np.ones([num_bi * num_layers, batch_size, hidden_size]).astype(np.float32))
output_0, (hn_0, cn_0) = lstm(input_seq_data, (h0, c0))
output_1, (hn_1, cn_1) = lstm(input_seq_data, (h0, c0), input_seq_length)
print("====== single layer bi lstm output 0 shape: {} ======\n{}".format(output_0.shape, output_0), flush=True)
print("====== single layer bi lstm hn0 shape: {} ======\n{}".format(hn_0.shape, hn_0), flush=True)
print("====== single layer bi lstm cn0 shape: {} ======\n{}".format(cn_0.shape, cn_0), flush=True)
print("====== single layer bi lstm output 1 shape: {} ======\n{}".format(output_1.shape, output_1), flush=True)
print("====== single layer bi lstm hn1 shape: {} ======\n{}".format(hn_1.shape, hn_1), flush=True)
print("====== single layer bi lstm cn1 shape: {} ======\n{}".format(cn_1.shape, cn_1), flush=True)
The output of the sample code is as follows:
Output analysis
1. The dimensions of both output_0 and output_1 are [4, 8, 16], representing the batch_size, seq_length, and hidden_size x 2, respectively. The hidden_size value is multiplied by 2 due to the bidirectional outputs.
2. output_0 corresponds to the situation where seq_length is None during invocation. That is, the default valid seq_length is 8 and none of the output values of the lengths of output_0 are all 0s.
3. output_1 corresponds to the situation where seq_length is [3, 8, 5, 1] (the set value) during invocation, and the output parts that exceed the valid length are all 0s.
4. hn and cn are outputs of the hidden state and cell state, respectively. The following uses hn_1 and cn_1 as examples.
5. The dimensions of hn_1 are [2, 4, 8]. The value 2 represents the bidirectional single layer (2 x 1), the value 4 represents the batch_size, and the value 8 represents the hidden_size.
6. It can be found that the forward output of the 0th index of the first dimension in hn_1 is consistent with the value of hidden_size before the last dimension of output_1 is output, that is, consistent with the value of hidden_size before the last dimension within the valid length is output.
7. It can also be found that the backward output of the first index of the first dimension in hn_1 is consistent with the value of hidden_size after the first dimension of output_1 starts to output.
8. cn_1 is the cell state of the last step of the valid length.
====== single layer bi lstm output 0 shape: (4, 8, 16) ======
[[[ 0.11591419 0.29961097 0.3425573 0.4287143 0.17212108
0.07444338 0.43271446 0.15715674 0.08194006 0.11577142
-0.09744498 -0.02763127 0.09280778 0.08716499 0.02522062
0.33181873]
[-0.01308823 0.13623668 0.19448121 0.37028143 0.22777143
0.00628781 0.39128026 0.15501572 0.08111142 0.11017906
-0.12316822 -0.00816909 0.09567513 0.05021677 0.08249568
0.33742255]
[-0.05627449 0.04682723 0.15380071 0.3137156 0.26430035
-0.046514 0.35723254 0.16584632 0.10204285 0.10223756
-0.13232729 -0.00190703 0.11279006 0.07007243 0.07809626
0.36085904]
[-0.09489179 -0.00705127 0.1340199 0.24711385 0.27097055
-0.05539801 0.29088783 0.180727 0.13702057 0.07165765
-0.15263684 -0.02301912 0.14440101 0.09643525 0.04434848
0.32824463]
[-0.13192342 -0.09842218 0.13483751 0.2363211 0.2714419
-0.06301905 0.23002718 0.12190706 0.1600955 0.0820565
-0.13324322 0.00847512 0.15308659 0.12757084 0.06873622
0.3726861 ]
[-0.16037701 -0.12437794 0.12642992 0.23676534 0.29797453
-0.04277696 0.24219972 0.16359471 0.16195399 0.07269616
-0.1250204 -0.0185749 0.19040069 0.12709007 0.12064856
0.30454746]
[-0.1353235 -0.12385159 0.1025193 0.23867385 0.30110353
-0.03195428 0.2832907 0.18136714 0.19130123 0.09153596
-0.05207976 0.02430173 0.2524703 0.22256352 0.17788586
0.3196903 ]
[-0.15227936 -0.16710246 0.11279354 0.2324703 0.3158889
-0.05391366 0.28967926 0.21905534 0.34464788 0.06061291
0.10662059 0.08228769 0.38103724 0.44488934 0.22631703
0.38864976]]
[[ 0.07946795 0.30921736 0.35205007 0.37194842 0.2058839
0.09482588 0.4332572 0.2775039 0.10343523 0.07151344
-0.13616626 -0.04245609 0.10985457 0.06919786 0.0364913
0.31924048]
[-0.04591701 0.14795585 0.20307627 0.35713255 0.21074952
0.03478044 0.36047992 0.15351431 0.11235587 0.07168273
-0.11715946 -0.02380875 0.11772131 0.11803672 0.00387634
0.33266184]
[-0.09412251 0.02499678 0.17255405 0.3178058 0.23692454
-0.03471331 0.26576498 0.10732022 0.14581609 0.07355653
-0.12852795 0.01927058 0.13053373 0.14796041 0.01590303
0.3854578 ]
[-0.09348419 0.00631614 0.1466178 0.22848201 0.22966608
-0.05388562 0.14963126 0.08823045 0.15729474 0.0657778
-0.15222837 -0.01835432 0.15758416 0.17561477 -0.03188463
0.3511778 ]
[-0.15382743 -0.04836275 0.14573918 0.22835778 0.2532363
-0.03674607 0.1401736 0.09852327 0.17570393 0.04582136
-0.13850203 0.00081276 0.16863164 0.14211492 0.04397457
0.33833435]
[-0.14028388 -0.08847751 0.13194019 0.21878807 0.28851762
-0.06432837 0.15592363 0.16226491 0.20294866 0.04400881
-0.11535563 0.04870296 0.22049154 0.17808373 0.09339966
0.34441146]
[-0.1683049 -0.16189072 0.1318028 0.22591397 0.3027075
-0.07447627 0.15145044 0.1329806 0.2544369 0.06014252
-0.01793557 0.11026148 0.2146467 0.3118566 0.12141219
0.39812002]
[-0.19805393 -0.17752953 0.12876241 0.21628919 0.3038769
-0.036511 0.1357605 0.10460708 0.3527281 0.07156999
0.1540587 0.09252883 0.35960466 0.54258245 0.16377062
0.40849966]]
[[ 0.08452003 0.3159105 0.3420099 0.3319746 0.20285761
0.08632328 0.3581056 0.27760154 0.14828831 0.04973472
-0.18127252 -0.02664946 0.11601479 0.06740937 0.0379785
0.342705 ]
[-0.0266434 0.16035607 0.18312001 0.31999707 0.22840345
0.01311543 0.3133277 0.20360778 0.12191478 0.06214391
-0.16598006 -0.03916245 0.10791545 0.06448431 0.03113508
0.33138022]
[-0.10794992 0.03787376 0.16952753 0.2500641 0.24685495
-0.05109966 0.20483223 0.18794663 0.16794644 0.03811646
-0.17785533 0.00866746 0.13491729 0.06493596 0.055873
0.3487326 ]
[-0.11205798 -0.04663825 0.13637729 0.2688466 0.2944545
-0.06623676 0.24580626 0.1894824 0.12357055 0.08545923
-0.13890322 0.02125055 0.12671538 0.05041068 0.10938939
0.37651145]
[-0.14464049 -0.11277611 0.12929943 0.2506328 0.32429394
-0.06989705 0.26676533 0.22626272 0.14871088 0.06151669
-0.14160013 0.01764496 0.15616798 0.06309532 0.11477884
0.3533678 ]
[-0.1919359 -0.14934857 0.12687694 0.2482472 0.30332044
-0.02129422 0.24142255 0.19039477 0.1872613 0.05607529
-0.10981983 0.02655923 0.19725962 0.15991098 0.08460074
0.32532936]
[-0.15997384 -0.16905244 0.12601317 0.24978957 0.3109707
-0.05129525 0.25644392 0.18721735 0.23115595 0.07164647
-0.04363466 0.09616573 0.23608637 0.23462081 0.16639999
0.36137852]
[-0.17784727 -0.19330868 0.12555353 0.25036657 0.3237954
-0.05024423 0.27374345 0.16953917 0.3444527 0.074378
0.12866443 0.11058272 0.34053382 0.47292238 0.20279881
0.42136478]]
[[ 0.09268619 0.35032618 0.34263822 0.33635783 0.19130397
0.089779 0.3541034 0.26252666 0.15370639 0.05593391
-0.16430146 -0.00316385 0.14068598 0.13546935 -0.01566708
0.32892445]
[ 0.00249528 0.16723414 0.19037648 0.32905748 0.20670214
-0.01093364 0.22814633 0.10346357 0.14574584 0.08942283
-0.13508694 0.02989143 0.13283192 0.155128 -0.00928066
0.38435996]
[-0.09191902 0.02066077 0.1762495 0.2693505 0.2615397
-0.07361222 0.17539641 0.12341685 0.14845897 0.06833903
-0.15054268 0.02503714 0.12414654 0.08736143 0.07049443
0.35888508]
[-0.08116069 -0.0288023 0.12298302 0.24174306 0.3107592
-0.07053182 0.23929915 0.17529318 0.09909797 0.10476568
-0.13906275 -0.0065798 0.12028767 0.09093229 0.08531829
0.33838242]
[-0.08996075 -0.04482763 0.10432535 0.18569301 0.29469466
-0.064595 0.21119419 0.19096416 0.15567164 0.06260847
-0.15861334 -0.01660161 0.17961282 0.14018227 0.05389842
0.32480207]
[-0.13079894 -0.12208281 0.11661161 0.20262218 0.31364897
-0.09002802 0.23725566 0.21705934 0.20321131 0.03772969
-0.12727125 0.04301733 0.21097985 0.16362298 0.12457186
0.3570657 ]
[-0.14077222 -0.14493458 0.10797977 0.20154148 0.32082993
-0.06558356 0.24276899 0.20433648 0.23955566 0.04574178
-0.03365875 0.05299059 0.26905897 0.3059458 0.11437013
0.3523326 ]
[-0.20353709 -0.20380074 0.12652008 0.19772139 0.28259847
-0.04320877 0.1549557 0.12743628 0.37037018 0.04201189
0.16136979 0.10812846 0.3535916 0.573114 0.14248823
0.42301312]]]
====== single layer bi lstm hn0 shape: (2, 4, 8) ======
[[[-0.15227936 -0.16710246 0.11279354 0.2324703 0.3158889
-0.05391366 0.28967926 0.21905534]
[-0.19805393 -0.17752953 0.12876241 0.21628919 0.3038769
-0.036511 0.1357605 0.10460708]
[-0.17784727 -0.19330868 0.12555353 0.25036657 0.3237954
-0.05024423 0.27374345 0.16953917]
[-0.20353709 -0.20380074 0.12652008 0.19772139 0.28259847
-0.04320877 0.1549557 0.12743628]]
[[ 0.08194006 0.11577142 -0.09744498 -0.02763127 0.09280778
0.08716499 0.02522062 0.33181873]
[ 0.10343523 0.07151344 -0.13616626 -0.04245609 0.10985457
0.06919786 0.0364913 0.31924048]
[ 0.14828831 0.04973472 -0.18127252 -0.02664946 0.11601479
0.06740937 0.0379785 0.342705 ]
[ 0.15370639 0.05593391 -0.16430146 -0.00316385 0.14068598
0.13546935 -0.01566708 0.32892445]]]
====== single layer bi lstm cn0 shape: (2, 4, 8) ======
[[[-0.48307976 -0.40690032 0.24048738 0.49366224 0.5961513
-0.13565473 0.5191028 0.48418468]
[-0.55306923 -0.41890883 0.31527558 0.4081013 0.5560535
-0.10868378 0.22270739 0.224445 ]
[-0.5595058 -0.5172409 0.28816614 0.4680259 0.6353333
-0.1406159 0.45408633 0.39424264]
[-0.55914015 -0.42366728 0.29431793 0.42468843 0.5133875
-0.11134674 0.27713037 0.2564772 ]]
[[ 0.13141792 0.26979685 -0.20174497 -0.06629345 0.16831748
0.14618596 0.05280813 0.84774 ]
[ 0.16957031 0.19068424 -0.28012666 -0.10653219 0.1932735
0.12457087 0.07286038 0.91865647]
[ 0.25553685 0.1275407 -0.37673476 -0.06495219 0.21608156
0.11330918 0.07597075 0.97954106]
[ 0.2739099 0.14198926 -0.342751 -0.00778307 0.25392675
0.23573248 -0.03052862 0.89955646]]]
====== single layer bi lstm output 1 shape: (4, 8, 16) ======
[[[ 0.11591419 0.299611 0.3425573 0.4287143 0.17212108
0.07444337 0.43271446 0.15715674 0.14267941 0.11772849
-0.08396029 -0.0199183 0.17602898 0.19761203 0.06850712
0.30409858]
[-0.01308823 0.1362367 0.19448121 0.3702814 0.22777143
0.00628781 0.39128026 0.1550157 0.19404428 0.11392959
-0.04281732 0.02546077 0.24461909 0.24037687 0.16997418
0.30728906]
[-0.05627449 0.04682725 0.15380071 0.3137156 0.26430035
-0.04651401 0.3572325 0.1658463 0.32523182 0.10201547
0.12631407 0.07232428 0.37344953 0.46444228 0.22052252
0.38782993]
[ 0. 0. 0. 0. 0.
0. 0. 0. 0. 0.
0. 0. 0. 0. 0.
0. ]
[ 0. 0. 0. 0. 0.
0. 0. 0. 0. 0.
0. 0. 0. 0. 0.
0. ]
[ 0. 0. 0. 0. 0.
0. 0. 0. 0. 0.
0. 0. 0. 0. 0.
0. ]
[ 0. 0. 0. 0. 0.
0. 0. 0. 0. 0.
0. 0. 0. 0. 0.
0. ]
[ 0. 0. 0. 0. 0.
0. 0. 0. 0. 0.
0. 0. 0. 0. 0.
0. ]]
[[ 0.07946795 0.30921736 0.35205007 0.37194842 0.2058839
0.09482589 0.4332572 0.27750388 0.10343523 0.07151344
-0.13616627 -0.04245608 0.10985459 0.06919786 0.0364913
0.31924048]
[-0.04591701 0.14795585 0.20307627 0.35713255 0.21074952
0.03478044 0.36047992 0.1535143 0.11235587 0.07168273
-0.11715946 -0.02380875 0.11772133 0.11803672 0.00387635
0.33266184]
[-0.09412251 0.02499679 0.17255405 0.31780577 0.23692457
-0.03471331 0.265765 0.10732021 0.14581607 0.07355653
-0.12852795 0.01927058 0.13053373 0.14796041 0.01590303
0.38545772]
[-0.09348419 0.00631614 0.14661779 0.228482 0.2296661
-0.05388563 0.14963126 0.08823042 0.15729474 0.0657778
-0.15222837 -0.01835432 0.15758416 0.17561477 -0.03188463
0.35117778]
[-0.15382743 -0.04836275 0.14573918 0.22835778 0.25323635
-0.03674608 0.14017357 0.09852324 0.17570391 0.04582136
-0.13850203 0.00081274 0.16863164 0.14211491 0.04397457
0.33833435]
[-0.14028388 -0.08847751 0.13194019 0.21878807 0.28851762
-0.06432837 0.15592363 0.16226488 0.20294866 0.04400881
-0.11535563 0.04870294 0.22049154 0.17808372 0.09339967
0.34441146]
[-0.1683049 -0.16189072 0.1318028 0.22591396 0.30270752
-0.07447628 0.15145041 0.13298061 0.2544369 0.06014251
-0.01793558 0.11026147 0.2146467 0.31185657 0.1214122
0.39812005]
[-0.19805394 -0.17752953 0.12876241 0.21628918 0.30387694
-0.036511 0.1357605 0.10460708 0.3527281 0.07156998
0.1540587 0.09252883 0.35960466 0.54258245 0.16377063
0.40849966]]
[[ 0.08452003 0.31591052 0.3420099 0.3319746 0.2028576
0.08632328 0.3581056 0.2776015 0.16127887 0.05090985
-0.18798977 -0.03278283 0.14869703 0.09618111 0.05077953
0.32884052]
[-0.0266434 0.16035606 0.18312001 0.31999707 0.22840345
0.01311543 0.31332764 0.20360778 0.14828573 0.06162609
-0.16532603 -0.04184524 0.17109753 0.11741111 0.05272176
0.31123316]
[-0.10794992 0.03787376 0.16952753 0.2500641 0.24685495
-0.05109966 0.2048322 0.18794663 0.21637706 0.03754523
-0.15342048 0.0159312 0.2186653 0.17495207 0.09126361
0.32591543]
[-0.11205798 -0.04663826 0.13637729 0.2688466 0.2944545
-0.06623676 0.24580622 0.1894824 0.21777555 0.08560579
-0.0555483 0.0522357 0.2504716 0.23061936 0.18061498
0.34555358]
[-0.14464049 -0.11277609 0.12929943 0.2506328 0.32429394
-0.06989705 0.26676533 0.22626273 0.34267974 0.06394035
0.10800922 0.07929072 0.38286424 0.44688055 0.22619261
0.38621217]
[ 0. 0. 0. 0. 0.
0. 0. 0. 0. 0.
0. 0. 0. 0. 0.
0. ]
[ 0. 0. 0. 0. 0.
0. 0. 0. 0. 0.
0. 0. 0. 0. 0.
0. ]
[ 0. 0. 0. 0. 0.
0. 0. 0. 0. 0.
0. 0. 0. 0. 0.
0. ]]
[[ 0.09268619 0.35032618 0.34263822 0.33635783 0.19130397
0.089779 0.3541034 0.26252666 0.34620598 0.06714007
0.13512857 0.04233981 0.42014182 0.5216394 0.18838547
0.3683127 ]
[ 0. 0. 0. 0. 0.
0. 0. 0. 0. 0.
0. 0. 0. 0. 0.
0. ]
[ 0. 0. 0. 0. 0.
0. 0. 0. 0. 0.
0. 0. 0. 0. 0.
0. ]
[ 0. 0. 0. 0. 0.
0. 0. 0. 0. 0.
0. 0. 0. 0. 0.
0. ]
[ 0. 0. 0. 0. 0.
0. 0. 0. 0. 0.
0. 0. 0. 0. 0.
0. ]
[ 0. 0. 0. 0. 0.
0. 0. 0. 0. 0.
0. 0. 0. 0. 0.
0. ]
[ 0. 0. 0. 0. 0.
0. 0. 0. 0. 0.
0. 0. 0. 0. 0.
0. ]
[ 0. 0. 0. 0. 0.
0. 0. 0. 0. 0.
0. 0. 0. 0. 0.
0. ]]]
====== single layer bi lstm hn1 shape: (2, 4, 8) ======
[[[-0.05627449 0.04682725 0.15380071 0.3137156 0.26430035
-0.04651401 0.3572325 0.1658463 ]
[-0.19805394 -0.17752953 0.12876241 0.21628918 0.30387694
-0.036511 0.1357605 0.10460708]
[-0.14464049 -0.11277609 0.12929943 0.2506328 0.32429394
-0.06989705 0.26676533 0.22626273]
[ 0.09268619 0.35032618 0.34263822 0.33635783 0.19130397
0.089779 0.3541034 0.26252666]]
[[ 0.14267941 0.11772849 -0.08396029 -0.0199183 0.17602898
0.19761203 0.06850712 0.30409858]
[ 0.10343523 0.07151344 -0.13616627 -0.04245608 0.10985459
0.06919786 0.0364913 0.31924048]
[ 0.16127887 0.05090985 -0.18798977 -0.03278283 0.14869703
0.09618111 0.05077953 0.32884052]
[ 0.34620598 0.06714007 0.13512857 0.04233981 0.42014182
0.5216394 0.18838547 0.3683127 ]]]
====== single layer bi lstm cn1 shape: (2, 4, 8) ======
[[[-0.16340391 0.12338591 0.36321753 0.60983956 0.4963916
-0.14528881 0.61422133 0.37583172]
[-0.5530693 -0.41890883 0.31527558 0.40810126 0.5560536
-0.10868377 0.22270739 0.22444502]
[-0.46137562 -0.27004397 0.27595642 0.5348579 0.62363803
-0.18086377 0.46610427 0.4973321 ]
[ 0.23746979 0.6868869 0.56339467 0.96855223 0.39346337
0.32335475 0.7259624 0.4185825 ]]
[[ 0.22938183 0.2952913 -0.17549752 -0.05000385 0.33509728
0.3336044 0.14473113 0.7370499 ]
[ 0.16957031 0.19068426 -0.2801267 -0.10653219 0.19327351
0.12457087 0.07286038 0.91865647]
[ 0.27940926 0.13317151 -0.39137632 -0.081429 0.28198367
0.16170114 0.10146889 0.91004795]
[ 0.6180897 0.28882137 0.28748003 0.15160248 0.7991137
0.90929043 0.45457762 0.8128108 ]]]
3.3 Double-Layer Bidirectional LSTM
In this case, the data [4, 8, 4] is randomly generated, in which the value of batch_size is 4, the value of seq_length is fixed to 8, and the input dimension is 4.
The double-layer bidirectional LSTM is used, and the hidden layer size is 8.
In this case, a comparison test is performed during LSTM invocation. In one sample, the seq_length is the default None; while in the other sample, it is the valid length input_seq_length.
The sample code is as follows:
import numpy as np
from mindspore import dtype
from mindspore import Tensor
from mindspore.nn import LSTM
def double_layer_bi_lstm():
random_data = np.random.rand(4, 8, 4)
seq_length = [3, 8, 5, 1]
input_seq_data = Tensor(random_data, dtype=dtype.float32)
input_seq_length = Tensor(seq_length, dtype=dtype.int32)
batch_size = 4
input_size = 4
hidden_size = 8
num_layers = 2
bidirectional = True
num_bi = 2 if bidirectional else 1
lstm = LSTM(
input_size=input_size, hidden_size=hidden_size, num_layers=num_layers,
has_bias=True, batch_first=True, dropout=0.0, bidirectional=bidirectional)
h0 = Tensor(np.ones([num_bi * num_layers, batch_size, hidden_size]).astype(np.float32))
c0 = Tensor(np.ones([num_bi * num_layers, batch_size, hidden_size]).astype(np.float32))
output_0, (hn_0, cn_0) = lstm(input_seq_data, (h0, c0))
output_1, (hn_1, cn_1) = lstm(input_seq_data, (h0, c0), input_seq_length)
print("====== double layer bi lstm output 0 shape: {} ======\n{}".format(output_0.shape, output_0), flush=True)
print("====== double layer bi lstm hn0 shape: {} ======\n{}".format(hn_0.shape, hn_0), flush=True)
print("====== double layer bi lstm cn0 shape: {} ======\n{}".format(cn_0.shape, cn_0), flush=True)
print("====== double layer bi lstm output 1 shape: {} ======\n{}".format(output_1.shape, output_1), flush=True)
print("====== double layer bi lstm hn1 shape: {} ======\n{}".format(hn_1.shape, hn_1), flush=True)
print("====== double layer bi lstm cn1 shape: {} ======\n{}".format(cn_1.shape, cn_1), flush=True)
The output of the sample code is as follows:
Output analysis
1. The dimensions of both output_0 and output_1 are [4, 8, 16], representing the batch_size, seq_length, and hidden_size x 2, respectively. The hidden_size value is multiplied by 2 due to the bidirectional outputs.
2. Both output_0 and output_1 are the outputs of the second layer (the last layer). The output of the middle layer (the first layer in this case) is not displayed.
3. output_0 corresponds to the situation where seq_length is None during invocation. That is, the default valid seq_length is 8 and none of the output values of the lengths of output_0 are all 0s.
4. output_1 corresponds to the situation where seq_length is [3, 8, 5, 1] (the set value) during invocation, and the output parts that exceed the valid length are all 0s.
5. hn and cn are outputs of the hidden state and cell state, respectively. The following uses hn_1 and cn_1 as examples.
6. The dimensions of hn_1 are [4, 4, 8]. The first value 4 represents the bidirectional double layer (2 x 2), the second value 4 represents the batch_size, and the value 8 represents the hidden_size.
7. hn_1 contains the final valid hidden state output of each layer, which is different from the output of output_1, which contains only the last layer.
8. It can be found that the forward output of the second index position (the last layer) of the first dimension in hn_1 is consistent with the value of hidden_size before the last dimension of output_1 is output, that is, consistent with the value of hidden_size before the last dimension within the valid length is output.
9. It can also be found that the backward output of the third index position (the last layer) of the first dimension in hn_1 is consistent with the value of hidden_size after the first dimension of output_1 starts to output.
10. cn_1 is the cell state of the last step of the valid length.
====== double layer bi lstm output 0 shape: (4, 8, 16) ======
[[[ 3.70550364e-01 2.17652053e-01 3.79816592e-01 5.39002419e-01
2.28588611e-01 3.83301824e-02 2.20795229e-01 2.44438455e-01
2.06572518e-01 -3.78293954e-02 2.60271341e-01 -4.60247397e-02
-3.78369205e-02 -1.90976545e-01 -1.01466656e-01 1.76680252e-01]
[ 1.65173441e-01 7.22418576e-02 4.98769164e-01 2.52682149e-01
2.94478923e-01 -1.56086944e-02 1.32235214e-01 4.96024750e-02
1.81777030e-01 -7.20555857e-02 2.31085896e-01 7.43698841e-03
-2.21280195e-02 -1.63902551e-01 -8.19268897e-02 1.90522313e-01]
[ 3.94219235e-02 -8.84856097e-03 4.88511086e-01 1.51095495e-01
2.83691764e-01 -2.36562286e-02 1.14125453e-01 -4.99135666e-02
1.84900641e-01 -9.07974318e-02 2.06634849e-01 5.43768853e-02
-2.88773868e-02 -1.41080543e-01 -7.59911761e-02 1.93940982e-01]
[-3.12361736e-02 -5.87114133e-02 4.53683615e-01 7.93214589e-02
2.92402357e-01 -2.14897078e-02 1.08925141e-01 -9.88882780e-02
1.98123455e-01 -8.50049481e-02 1.91045731e-01 8.83036405e-02
-1.40397642e-02 -1.22237459e-01 -6.35140762e-02 1.80813670e-01]
[-6.87201098e-02 -6.12376854e-02 4.39131975e-01 2.83084475e-02
2.86313444e-01 -9.33245104e-03 1.12482831e-01 -1.27253398e-01
2.32264340e-01 -7.87357539e-02 1.86317161e-01 1.59440145e-01
1.36264751e-03 -9.95954126e-02 -4.97992262e-02 1.69756234e-01]
[-8.29227120e-02 -6.19332492e-02 4.27550107e-01 -1.70003679e-02
2.88041800e-01 3.62846977e-03 1.04239471e-01 -1.43706441e-01
2.90384740e-01 -5.84731065e-02 1.86135545e-01 2.26804867e-01
3.95135172e-02 -6.33978993e-02 -1.63939036e-02 1.48533911e-01]
[-8.72429982e-02 -6.10240139e-02 4.20974702e-01 -6.44157380e-02
2.92603880e-01 2.60243341e-02 9.26012769e-02 -1.46479979e-01
3.93343538e-01 -1.41044548e-02 1.96197629e-01 3.05834383e-01
1.02294169e-01 2.09005456e-03 5.07600456e-02 1.33950055e-01]
[-8.48584175e-02 -4.15292941e-02 4.26153004e-01 -1.12198450e-01
2.93441713e-01 4.73045520e-02 7.22456872e-02 -1.52661309e-01
6.08003795e-01 1.02589525e-01 2.28410736e-01 3.57809156e-01
2.30974391e-01 7.29562640e-02 1.54908523e-01 1.37615114e-01]]
[[ 3.73128176e-01 2.24487275e-01 3.83654892e-01 5.39644539e-01
2.24863932e-01 3.69703583e-02 2.22563371e-01 2.47377262e-01
2.09958509e-01 -3.67934220e-02 2.55294740e-01 -5.44558465e-02
-3.49954516e-02 -1.88630879e-01 -9.97974724e-02 1.72440261e-01]
[ 1.63444579e-01 7.47621208e-02 4.95126337e-01 2.49838263e-01
2.98441172e-01 -2.29644943e-02 1.30464450e-01 4.65075821e-02
1.87749639e-01 -5.69685884e-02 2.30926782e-01 -1.89751368e-02
-6.57672016e-03 -1.64301425e-01 -7.78417960e-02 1.70920238e-01]
[ 2.62361914e-02 -2.09027641e-02 4.81326580e-01 1.54101923e-01
2.95957267e-01 -3.76441851e-02 1.13665104e-01 -5.53984046e-02
1.96336910e-01 -6.99553713e-02 2.13279501e-01 2.09173746e-02
-6.90750126e-03 -1.42273992e-01 -7.39771128e-02 1.70230061e-01]
[-4.55044061e-02 -8.81957486e-02 4.49505210e-01 8.37849677e-02
3.12549353e-01 -3.09768375e-02 9.69471037e-02 -9.93652195e-02
2.07049429e-01 -6.65001795e-02 1.99929893e-01 4.60516922e-02
9.15598311e-03 -1.23334207e-01 -6.36003762e-02 1.58215716e-01]
[-8.54137391e-02 -9.59964097e-02 4.28828478e-01 2.81018596e-02
3.12747598e-01 -1.96594596e-02 1.04248613e-01 -1.21685371e-01
2.44353175e-01 -6.95914254e-02 1.87495902e-01 1.23339958e-01
1.20015517e-02 -9.19487774e-02 -5.30561097e-02 1.52850106e-01]
[-1.03212453e-01 -9.74086747e-02 4.10266966e-01 -2.03387272e-02
3.20133060e-01 5.47134259e-04 1.07527576e-01 -1.26215830e-01
3.05427969e-01 -5.22202961e-02 1.89031556e-01 2.16380343e-01
4.27359492e-02 -5.31105101e-02 -2.50125714e-02 1.44858196e-01]
[-1.06917843e-01 -7.13929683e-02 4.10624832e-01 -5.51486127e-02
3.07110429e-01 1.92907490e-02 1.03878655e-01 -1.38662428e-01
4.00884181e-01 -1.43600125e-02 1.82524621e-01 2.97586024e-01
9.52146128e-02 9.59962141e-03 5.30949272e-02 1.37635604e-01]
[-9.71160829e-02 -4.43801992e-02 4.20233607e-01 -1.02356419e-01
3.03063601e-01 3.99401113e-02 8.28935355e-02 -1.43912748e-01
6.09543681e-01 1.04935512e-01 2.27933496e-01 3.57850134e-01
2.31336534e-01 7.57181123e-02 1.55172557e-01 1.39436752e-01]]
[[ 3.74232024e-01 2.23312378e-01 3.80826175e-01 5.25748074e-01
2.30494052e-01 3.75359394e-02 2.19325155e-01 2.45338157e-01
1.90327644e-01 -9.49237868e-03 2.51282185e-01 -4.07305919e-02
-7.68693071e-03 -1.96041882e-01 -9.43402052e-02 1.52500823e-01]
[ 1.65756628e-01 8.52986127e-02 5.00474215e-01 2.32285380e-01
2.97197372e-01 -2.87767611e-02 1.31484732e-01 4.05624248e-02
1.72598451e-01 -3.74435596e-02 2.30013907e-01 1.03627918e-02
1.63554456e-02 -1.71838194e-01 -7.55213797e-02 1.56671956e-01]
[ 3.51614878e-02 -3.49920541e-02 4.85133171e-01 1.37813956e-01
3.03884476e-01 -3.76141518e-02 9.96868908e-02 -4.97255772e-02
1.81163609e-01 -4.24254723e-02 2.27177203e-01 3.23883444e-02
2.71688756e-02 -1.56165496e-01 -6.69138283e-02 1.53632939e-01]
[-4.10026051e-02 -8.96424949e-02 4.60784853e-01 8.30888674e-02
3.03816915e-01 -2.20339652e-02 9.38846841e-02 -9.45615992e-02
2.04564795e-01 -4.51925248e-02 2.18029544e-01 6.01283386e-02
3.36706154e-02 -1.35854393e-01 -5.57745472e-02 1.48557410e-01]
[-8.25456828e-02 -1.13149934e-01 4.36939508e-01 3.75392586e-02
3.10225427e-01 -7.73321884e-03 9.12441462e-02 -1.16306305e-01
2.42686659e-01 -4.25874330e-02 2.11468235e-01 1.09053820e-01
4.69379947e-02 -1.04551256e-01 -4.02252935e-02 1.34793952e-01]
[-1.08169496e-01 -1.15720116e-01 4.16452408e-01 4.10868321e-03
3.16107094e-01 6.06524665e-03 9.51950625e-02 -1.27826288e-01
3.06058168e-01 -3.21962573e-02 2.01961204e-01 1.87839821e-01
6.73103184e-02 -5.98271154e-02 -1.05028180e-02 1.28264755e-01]
[-1.16449505e-01 -1.07103497e-01 4.10319597e-01 -3.42636257e-02
3.23818535e-01 2.40915213e-02 9.08538699e-02 -1.28739789e-01
4.00041372e-01 5.13588311e-03 2.06977740e-01 2.77402431e-01
1.18934669e-01 6.60364656e-03 5.48240133e-02 1.22762337e-01]
[-1.07369550e-01 -7.64680207e-02 4.24612671e-01 -8.88631567e-02
3.25147092e-01 5.22605665e-02 7.02133700e-02 -1.30118832e-01
6.03053808e-01 1.08490229e-01 2.35621274e-01 3.42306137e-01
2.33348757e-01 7.23976195e-02 1.51835442e-01 1.38724014e-01]]
[[ 3.68833274e-01 2.19720796e-01 3.75712991e-01 5.39344609e-01
2.32777387e-01 3.75517495e-02 2.15990663e-01 2.38119900e-01
2.03846872e-01 -3.31601547e-03 2.63746709e-01 -5.33154309e-02
-1.53900171e-02 -1.96350247e-01 -9.86721516e-02 1.51238605e-01]
[ 1.61587596e-01 7.25713074e-02 4.97545034e-01 2.48409301e-01
3.00032824e-01 -2.52650958e-02 1.25469610e-01 4.12617065e-02
1.75564945e-01 -3.84877101e-02 2.34954998e-01 1.90881861e-03
7.01279286e-03 -1.72224715e-01 -7.77121335e-02 1.60935923e-01]
[ 2.84800380e-02 -2.69929953e-02 4.86053288e-01 1.57494590e-01
2.96494991e-01 -3.40557620e-02 1.04029477e-01 -5.39027080e-02
1.82317436e-01 -5.37234657e-02 2.23423839e-01 4.04849648e-02
8.95922631e-03 -1.53901607e-01 -7.44922534e-02 1.65948585e-01]
[-3.72786410e-02 -7.53442869e-02 4.61774200e-01 8.63353312e-02
2.97733396e-01 -2.75274049e-02 9.13189948e-02 -1.00060880e-01
1.94108337e-01 -5.79617955e-02 2.08687440e-01 6.31403774e-02
2.11703759e-02 -1.34831637e-01 -6.31042644e-02 1.52588978e-01]
[-7.60064349e-02 -1.06220305e-01 4.34687048e-01 3.19332667e-02
3.09678972e-01 -1.16188908e-02 8.85540992e-02 -1.18266501e-01
2.29653955e-01 -5.94241545e-02 2.00053185e-01 1.14932276e-01
3.13343108e-02 -1.04001120e-01 -4.90994565e-02 1.44359529e-01]
[-9.52797905e-02 -9.27509218e-02 4.22483116e-01 -1.29148299e-02
3.04568678e-01 9.32686683e-03 9.81104076e-02 -1.28704712e-01
2.98035592e-01 -5.08954525e-02 1.98656082e-01 2.12906018e-01
5.04655764e-02 -6.18565194e-02 -2.38872226e-02 1.40028179e-01]
[-9.81744751e-02 -8.54582712e-02 4.15283144e-01 -6.42896220e-02
3.11841279e-01 3.18106599e-02 8.80582407e-02 -1.32987425e-01
3.88665676e-01 -1.39519377e-02 1.92815915e-01 2.86827296e-01
1.07908145e-01 2.11709971e-03 4.85477857e-02 1.27813160e-01]
[-9.11041871e-02 -4.77942340e-02 4.29545075e-01 -1.14117011e-01
3.04611683e-01 5.14086746e-02 7.33837485e-02 -1.44734517e-01
6.06585741e-01 9.89784896e-02 2.24559098e-01 3.55441421e-01
2.28052005e-01 7.30600879e-02 1.55306384e-01 1.37683451e-01]]]
====== double layer bi lstm hn0 shape: (4, 4, 8) ======
[[[ 0.25934413 -0.07461581 0.19370164 0.11095355 0.02041678
0.29797387 0.03047622 0.19640712]
[ 0.2874061 -0.08844143 0.22119689 0.1251989 -0.01900517
0.29294112 0.05027778 0.2071664 ]
[ 0.2596095 0.03271259 0.26155 0.10348854 0.08536521
0.28197888 -0.08929807 0.18018515]
[ 0.2509837 -0.07010224 0.20813467 0.10349585 0.04007874
0.27277622 0.01278557 0.18474495]]
[[-0.00949934 0.10407767 0.038502 0.14573903 -0.14825179
-0.08745017 0.3038079 0.28010136]
[ 0.05813041 0.14894389 0.05397653 0.15691832 -0.16107248
-0.06869183 0.27977887 0.26698047]
[-0.05296279 0.02392143 0.06922498 0.16198513 -0.12499766
-0.063968 0.2682934 0.25862688]
[-0.03301367 0.04014921 -0.00048225 0.1180163 -0.12858163
-0.07102007 0.35664883 0.26105112]]
[[-0.08485842 -0.04152929 0.426153 -0.11219845 0.2934417
0.04730455 0.07224569 -0.15266131]
[-0.09711608 -0.0443802 0.4202336 -0.10235642 0.3030636
0.03994011 0.08289354 -0.14391275]
[-0.10736955 -0.07646802 0.42461267 -0.08886316 0.3251471
0.05226057 0.07021337 -0.13011883]
[-0.09110419 -0.04779423 0.42954507 -0.11411701 0.30461168
0.05140867 0.07338375 -0.14473452]]
[[ 0.20657252 -0.0378294 0.26027134 -0.04602474 -0.03783692
-0.19097655 -0.10146666 0.17668025]
[ 0.20995851 -0.03679342 0.25529474 -0.05445585 -0.03499545
-0.18863088 -0.09979747 0.17244026]
[ 0.19032764 -0.00949238 0.2512822 -0.04073059 -0.00768693
-0.19604188 -0.09434021 0.15250082]
[ 0.20384687 -0.00331602 0.2637467 -0.05331543 -0.01539002
-0.19635025 -0.09867215 0.1512386 ]]]
====== double layer bi lstm cn0 shape: (4, 4, 8) ======
[[[ 0.5770398 -0.16899881 0.40028483 0.25001454 0.04046626
0.57915956 0.05266067 0.52447474]
[ 0.66343445 -0.19959925 0.49729916 0.27566156 -0.03596141
0.5509572 0.0853648 0.5394346 ]
[ 0.5707181 0.07038814 0.5712474 0.2565448 0.1530705
0.57276523 -0.15605333 0.46282846]
[ 0.55990976 -0.16366895 0.4313923 0.23668876 0.08243398
0.53433377 0.02196771 0.4817235 ]]
[[-0.02554817 0.2071405 0.07978731 0.2778875 -0.24753608
-0.2485388 0.62492937 0.6474521 ]
[ 0.16052538 0.31375027 0.1059354 0.2853353 -0.26115927
-0.20904504 0.5899866 0.56931025]
[-0.14657407 0.05189808 0.13706218 0.33399543 -0.2142592
-0.16363172 0.612855 0.61697096]
[-0.0884767 0.07950284 -0.00107491 0.2254872 -0.21063672
-0.20023198 0.72448045 0.60711044]]
[[-0.2504415 -0.0814982 0.7923428 -0.19285998 0.5903069
0.13990048 0.15511556 -0.2908177 ]
[-0.28950468 -0.08669281 0.7886544 -0.17458251 0.6081315
0.12001925 0.17698732 -0.2759574 ]
[-0.30495524 -0.14845964 0.79688644 -0.15463473 0.6548568
0.15446547 0.1526669 -0.24459954]
[-0.265516 -0.09397535 0.79843074 -0.19696996 0.6198776
0.15148453 0.15768716 -0.275381 ]]
[[ 0.32853472 -0.05710489 0.7447654 -0.0758819 -0.09938034
-0.47783113 -0.28168824 0.36019933]
[ 0.33408064 -0.05591211 0.7391405 -0.08961775 -0.0917803
-0.47115833 -0.278066 0.35383248]
[ 0.30187273 -0.01431822 0.7146605 -0.06792408 -0.02012375
-0.48834586 -0.26035625 0.3151392 ]
[ 0.32118577 -0.00497683 0.7502155 -0.08775105 -0.04013083
-0.4903597 -0.27541417 0.30617815]]]
====== double layer bi lstm output 1 shape: (4, 8, 16) ======
[[[ 3.5416836e-01 2.0936093e-01 3.8317284e-01 5.3357160e-01
2.4053907e-01 4.1459590e-02 2.0509864e-01 2.5311515e-01
3.7313861e-01 2.2726113e-02 2.4815443e-01 1.6349553e-01
1.1913014e-02 -1.0416587e-01 -4.6682160e-02 1.2466244e-01]
[ 1.6695338e-01 8.1573747e-02 5.0642765e-01 2.2585270e-01
3.1199178e-01 7.0200888e-03 1.0298288e-01 7.1754217e-02
4.2964008e-01 2.7423983e-02 2.2389892e-01 2.8188041e-01
9.3678713e-02 -1.6824452e-02 4.4604652e-02 1.2561245e-01]
[ 6.0777575e-02 3.0208385e-02 5.1636058e-01 8.0109224e-02
3.0168548e-01 1.5010678e-02 5.8312915e-02 -2.7518146e-02
6.2040079e-01 1.1676422e-01 2.4167898e-01 3.6679846e-01
2.2570200e-01 6.9053181e-02 1.5332413e-01 1.3909420e-01]
[ 0.0000000e+00 0.0000000e+00 0.0000000e+00 0.0000000e+00
0.0000000e+00 0.0000000e+00 0.0000000e+00 0.0000000e+00
0.0000000e+00 0.0000000e+00 0.0000000e+00 0.0000000e+00
0.0000000e+00 0.0000000e+00 0.0000000e+00 0.0000000e+00]
[ 0.0000000e+00 0.0000000e+00 0.0000000e+00 0.0000000e+00
0.0000000e+00 0.0000000e+00 0.0000000e+00 0.0000000e+00
0.0000000e+00 0.0000000e+00 0.0000000e+00 0.0000000e+00
0.0000000e+00 0.0000000e+00 0.0000000e+00 0.0000000e+00]
[ 0.0000000e+00 0.0000000e+00 0.0000000e+00 0.0000000e+00
0.0000000e+00 0.0000000e+00 0.0000000e+00 0.0000000e+00
0.0000000e+00 0.0000000e+00 0.0000000e+00 0.0000000e+00
0.0000000e+00 0.0000000e+00 0.0000000e+00 0.0000000e+00]
[ 0.0000000e+00 0.0000000e+00 0.0000000e+00 0.0000000e+00
0.0000000e+00 0.0000000e+00 0.0000000e+00 0.0000000e+00
0.0000000e+00 0.0000000e+00 0.0000000e+00 0.0000000e+00
0.0000000e+00 0.0000000e+00 0.0000000e+00 0.0000000e+00]
[ 0.0000000e+00 0.0000000e+00 0.0000000e+00 0.0000000e+00
0.0000000e+00 0.0000000e+00 0.0000000e+00 0.0000000e+00
0.0000000e+00 0.0000000e+00 0.0000000e+00 0.0000000e+00
0.0000000e+00 0.0000000e+00 0.0000000e+00 0.0000000e+00]]
[[ 3.7312818e-01 2.2448727e-01 3.8365489e-01 5.3964454e-01
2.2486390e-01 3.6970358e-02 2.2256340e-01 2.4737728e-01
2.0995849e-01 -3.6793407e-02 2.5529474e-01 -5.4455854e-02
-3.4995444e-02 -1.8863088e-01 -9.9797480e-02 1.7244026e-01]
[ 1.6344458e-01 7.4762136e-02 4.9512634e-01 2.4983825e-01
2.9844120e-01 -2.2964491e-02 1.3046446e-01 4.6507578e-02
1.8774964e-01 -5.6968573e-02 2.3092678e-01 -1.8975141e-02
-6.5767197e-03 -1.6430146e-01 -7.7841796e-02 1.7092024e-01]
[ 2.6236186e-02 -2.0902762e-02 4.8132658e-01 1.5410189e-01
2.9595733e-01 -3.7644185e-02 1.1366512e-01 -5.5398405e-02
1.9633688e-01 -6.9955371e-02 2.1327947e-01 2.0917373e-02
-6.9075003e-03 -1.4227399e-01 -7.3977120e-02 1.7023006e-01]
[-4.5504406e-02 -8.8195749e-02 4.4950521e-01 8.3784960e-02
3.1254938e-01 -3.0976830e-02 9.6947111e-02 -9.9365219e-02
2.0704943e-01 -6.6500187e-02 1.9992988e-01 4.6051688e-02
9.1559850e-03 -1.2333421e-01 -6.3600369e-02 1.5821570e-01]
[-8.5413747e-02 -9.5996402e-02 4.2882851e-01 2.8101865e-02
3.1274763e-01 -1.9659458e-02 1.0424862e-01 -1.2168537e-01
2.4435315e-01 -6.9591425e-02 1.8749590e-01 1.2333996e-01
1.2001552e-02 -9.1948770e-02 -5.3056102e-02 1.5285012e-01]
[-1.0321245e-01 -9.7408667e-02 4.1026697e-01 -2.0338718e-02
3.2013306e-01 5.4713513e-04 1.0752757e-01 -1.2621583e-01
3.0542794e-01 -5.2220318e-02 1.8903156e-01 2.1638034e-01
4.2735931e-02 -5.3110521e-02 -2.5012573e-02 1.4485820e-01]
[-1.0691784e-01 -7.1392961e-02 4.1062483e-01 -5.5148609e-02
3.0711043e-01 1.9290760e-02 1.0387863e-01 -1.3866244e-01
4.0088418e-01 -1.4360026e-02 1.8252462e-01 2.9758602e-01
9.5214583e-02 9.5995963e-03 5.3094927e-02 1.3763560e-01]
[-9.7116083e-02 -4.4380195e-02 4.2023361e-01 -1.0235640e-01
3.0306363e-01 3.9940134e-02 8.2893521e-02 -1.4391276e-01
6.0954368e-01 1.0493548e-01 2.2793353e-01 3.5785013e-01
2.3133652e-01 7.5718097e-02 1.5517256e-01 1.3943677e-01]]
[[ 3.6901441e-01 2.1822800e-01 3.7994039e-01 5.2547783e-01
2.3396042e-01 3.9366722e-02 2.1538821e-01 2.4702020e-01
2.4914475e-01 -6.9778422e-03 2.4806115e-01 2.1838229e-02
-1.3991867e-02 -1.6620368e-01 -8.7110944e-02 1.4123847e-01]
[ 1.6616049e-01 8.4187903e-02 4.9948204e-01 2.2646046e-01
3.0369779e-01 -1.7643329e-02 1.2668489e-01 4.9117617e-02
2.6261702e-01 -2.7619595e-02 2.2540939e-01 1.1914852e-01
2.3004401e-02 -1.2194993e-01 -5.5561494e-02 1.3998528e-01]
[ 4.2908981e-02 -2.5578242e-02 4.8486653e-01 1.1890158e-01
3.1149039e-01 -1.4618633e-02 9.1249026e-02 -3.3213440e-02
3.1701097e-01 -1.8276740e-02 2.2031868e-01 2.0087981e-01
5.8553118e-02 -7.3650509e-02 -1.7827954e-02 1.3095699e-01]
[-2.2401063e-02 -6.7246288e-02 4.6379456e-01 4.6429519e-02
3.1024706e-01 1.2560772e-02 7.6885723e-02 -7.1739145e-02
4.0658230e-01 1.3608186e-02 2.1248461e-01 2.7639762e-01
1.0969905e-01 -1.7181308e-03 5.7507429e-02 1.2614906e-01]
[-4.9086079e-02 -6.1570432e-02 4.6209678e-01 -3.5342608e-02
3.1426692e-01 4.2432975e-02 5.4815758e-02 -9.5721334e-02
6.0554379e-01 1.1493160e-01 2.4293001e-01 3.4404746e-01
2.3283333e-01 6.8980336e-02 1.5239350e-01 1.3767722e-01]
[ 0.0000000e+00 0.0000000e+00 0.0000000e+00 0.0000000e+00
0.0000000e+00 0.0000000e+00 0.0000000e+00 0.0000000e+00
0.0000000e+00 0.0000000e+00 0.0000000e+00 0.0000000e+00
0.0000000e+00 0.0000000e+00 0.0000000e+00 0.0000000e+00]
[ 0.0000000e+00 0.0000000e+00 0.0000000e+00 0.0000000e+00
0.0000000e+00 0.0000000e+00 0.0000000e+00 0.0000000e+00
0.0000000e+00 0.0000000e+00 0.0000000e+00 0.0000000e+00
0.0000000e+00 0.0000000e+00 0.0000000e+00 0.0000000e+00]
[ 0.0000000e+00 0.0000000e+00 0.0000000e+00 0.0000000e+00
0.0000000e+00 0.0000000e+00 0.0000000e+00 0.0000000e+00
0.0000000e+00 0.0000000e+00 0.0000000e+00 0.0000000e+00
0.0000000e+00 0.0000000e+00 0.0000000e+00 0.0000000e+00]]
[[ 3.3036014e-01 2.2069807e-01 4.0932164e-01 5.0686938e-01
2.5304586e-01 4.5349576e-02 1.6947377e-01 2.6356062e-01
6.4686131e-01 1.8447271e-01 2.6571944e-01 3.6628011e-01
2.0576611e-01 5.9034787e-02 1.3657802e-01 1.4004102e-01]
[ 0.0000000e+00 0.0000000e+00 0.0000000e+00 0.0000000e+00
0.0000000e+00 0.0000000e+00 0.0000000e+00 0.0000000e+00
0.0000000e+00 0.0000000e+00 0.0000000e+00 0.0000000e+00
0.0000000e+00 0.0000000e+00 0.0000000e+00 0.0000000e+00]
[ 0.0000000e+00 0.0000000e+00 0.0000000e+00 0.0000000e+00
0.0000000e+00 0.0000000e+00 0.0000000e+00 0.0000000e+00
0.0000000e+00 0.0000000e+00 0.0000000e+00 0.0000000e+00
0.0000000e+00 0.0000000e+00 0.0000000e+00 0.0000000e+00]
[ 0.0000000e+00 0.0000000e+00 0.0000000e+00 0.0000000e+00
0.0000000e+00 0.0000000e+00 0.0000000e+00 0.0000000e+00
0.0000000e+00 0.0000000e+00 0.0000000e+00 0.0000000e+00
0.0000000e+00 0.0000000e+00 0.0000000e+00 0.0000000e+00]
[ 0.0000000e+00 0.0000000e+00 0.0000000e+00 0.0000000e+00
0.0000000e+00 0.0000000e+00 0.0000000e+00 0.0000000e+00
0.0000000e+00 0.0000000e+00 0.0000000e+00 0.0000000e+00
0.0000000e+00 0.0000000e+00 0.0000000e+00 0.0000000e+00]
[ 0.0000000e+00 0.0000000e+00 0.0000000e+00 0.0000000e+00
0.0000000e+00 0.0000000e+00 0.0000000e+00 0.0000000e+00
0.0000000e+00 0.0000000e+00 0.0000000e+00 0.0000000e+00
0.0000000e+00 0.0000000e+00 0.0000000e+00 0.0000000e+00]
[ 0.0000000e+00 0.0000000e+00 0.0000000e+00 0.0000000e+00
0.0000000e+00 0.0000000e+00 0.0000000e+00 0.0000000e+00
0.0000000e+00 0.0000000e+00 0.0000000e+00 0.0000000e+00
0.0000000e+00 0.0000000e+00 0.0000000e+00 0.0000000e+00]
[ 0.0000000e+00 0.0000000e+00 0.0000000e+00 0.0000000e+00
0.0000000e+00 0.0000000e+00 0.0000000e+00 0.0000000e+00
0.0000000e+00 0.0000000e+00 0.0000000e+00 0.0000000e+00
0.0000000e+00 0.0000000e+00 0.0000000e+00 0.0000000e+00]]]
====== double layer bi lstm hn1 shape: (4, 4, 8) ======
[[[ 0.30786592 -0.05702875 0.2098356 0.1831936 0.1446731
0.35495615 0.10906219 0.2584008 ]
[ 0.28740606 -0.08844142 0.2211969 0.12519889 -0.01900517
0.29294112 0.05027781 0.2071664 ]
[ 0.25389883 0.05431987 0.24731106 0.1163514 0.12489295
0.31806058 -0.07178076 0.20686159]
[ 0.47720045 0.11175225 0.22376464 0.36412558 0.46750376
0.28765967 0.38535532 0.33306697]]
[[ 0.0012262 0.3199089 -0.02733669 0.17044675 -0.04726706
-0.02164171 0.28464028 0.3348536 ]
[ 0.05813042 0.14894389 0.05397653 0.15691833 -0.16107246
-0.06869183 0.27977887 0.26698047]
[-0.04329334 0.12033389 0.03753637 0.15189895 -0.11344916
-0.04964198 0.27086687 0.28215134]
[ 0.05921583 0.543903 0.00194274 0.27610534 0.16461822
0.25555757 0.18277422 0.3662175 ]]
[[ 0.06077757 0.03020838 0.5163606 0.08010922 0.30168548
0.01501068 0.05831292 -0.02751815]
[-0.09711608 -0.0443802 0.4202336 -0.1023564 0.30306363
0.03994013 0.08289352 -0.14391276]
[-0.04908608 -0.06157043 0.46209678 -0.03534261 0.31426692
0.04243298 0.05481576 -0.09572133]
[ 0.33036014 0.22069807 0.40932164 0.5068694 0.25304586
0.04534958 0.16947377 0.26356062]]
[[ 0.3731386 0.02272611 0.24815443 0.16349553 0.01191301
-0.10416587 -0.04668216 0.12466244]
[ 0.2099585 -0.03679341 0.25529474 -0.05445585 -0.03499544
-0.18863088 -0.09979748 0.17244026]
[ 0.24914475 -0.00697784 0.24806115 0.02183823 -0.01399187
-0.16620368 -0.08711094 0.14123847]
[ 0.6468613 0.18447271 0.26571944 0.3662801 0.20576611
0.05903479 0.13657802 0.14004102]]]
====== double layer bi lstm cn1 shape: (4, 4, 8) ======
[[[ 0.7061355 -0.13162777 0.46092123 0.4033497 0.2930356
0.76054144 0.18314546 0.70929015]
[ 0.6634344 -0.19959924 0.4972992 0.27566153 -0.0359614
0.5509572 0.08536483 0.5394347 ]
[ 0.5526391 0.1161246 0.5316373 0.28497726 0.22511882
0.67451394 -0.12430747 0.5528798 ]
[ 1.0954192 0.29093137 0.8067771 0.8504353 0.7032547
0.97427243 0.5589305 0.8662672 ]]
[[ 0.00324558 0.6688721 -0.05317001 0.32999027 -0.07784042
-0.05728557 0.58330244 0.8111321 ]
[ 0.16052541 0.31375027 0.1059354 0.28533533 -0.26115924
-0.20904504 0.5899867 0.56931025]
[-0.11802054 0.26023 0.07224996 0.31177503 -0.19568688
-0.12562011 0.6177163 0.6840635 ]
[ 0.16791074 1.2188046 0.00349617 0.670789 0.2591958
0.46886685 0.5807996 0.86447406]]
[[ 0.16193499 0.06143508 1.1399425 0.13840833 0.69956493
0.04888431 0.1235408 -0.0485969 ]
[-0.28950468 -0.0866928 0.7886544 -0.17458248 0.6081316
0.12001929 0.17698729 -0.27595744]
[-0.13397661 -0.12149224 0.9074148 -0.06176313 0.6541451
0.12807912 0.1181712 -0.17463374]
[ 0.8489872 0.6016479 1.3853014 0.8196937 1.020999
0.24127276 0.45320526 0.4759813 ]]
[[ 0.6076499 0.03351691 0.812855 0.27901018 0.02922555
-0.26106828 -0.12472634 0.24901994]
[ 0.3340806 -0.05591209 0.7391405 -0.08961776 -0.09178029
-0.47115833 -0.27806604 0.35383248]
[ 0.3964765 -0.01050393 0.7366462 0.03638346 -0.03574796
-0.41335842 -0.23882627 0.28892466]
[ 1.0575086 0.23200202 0.8150203 0.7750988 0.42505968
0.24064866 0.46888143 0.26767123]]]
Summary
This blog briefly describes the basic principles of LSTM, and details parameter settings and inputs and outputs through descriptions in MindSpore documents and case studies. We hope you can better understand how the LSTM operator works in MindSpore.
References