量子相位估计算法
概述
量子相位估计算法(Quantum Phase Estimation Algorithm,简称QPE),是很多量子算法的关键。假设一个幺正算符 \(U\),这个幺正算符作用在其本征态 \(|u\rangle\) 上会出现一个相位 \(e^{2\pi i \varphi}\),现在我们假设 \(U\) 算符的本征值未知,也就是 \(\varphi\) 未知,但是 \(U\) 算符和本征态 \(|u\rangle\) 已知,相位估计算法的作用就是对这个相位 \(\varphi\) 进行估计。

算法解析
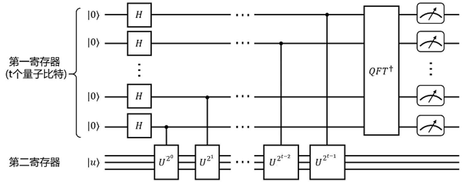
量子相位估计算法的实现需要两个寄存器(register),第一寄存器包含\(t\)个初始在 \(|0\rangle\) 的量子比特,比特数和最后相位估计的结果的精度和算法的成功概率相关;第二个寄存器初始化在幺正算符 \(U\) 的本征态 \(|u\rangle\) 上。相位估计算法主要分为三步:
步骤一
对第一寄存器的所有量子比特进行 Hadamard 门操作,对第二寄存器连续进行 控制U 门操作,其中 \(U\) 门的幂次依次为 \(2^0, 2^1,...,2^{t-1}\),控制比特依次为 \(q_{t-1}, q_{t-2},..., q_{1}, q_{0}\)。这时第一寄存器中的态就会变为
其中\(k\)为直积态的十进制表示,比如 \(k=0\) 表示第一寄存器中t个比特全部在基态 \(|00...00\rangle\), \(k=2\) 表示 \(|00...10\rangle\),以此类推。
步骤二
对第一寄存器的进行量子傅里叶变换的逆变换(Inverse Quantum Fourier Transform),在线路中表示成 \(QFT^\dagger\), 对 \(|\psi_1\rangle\) 进行逆量子傅里叶变换可得 \(|\psi_2\rangle\)
其中
为本征基矢 \(|x\rangle\) (\(x=0.1,...,2^t\)) 对应的概率幅 。由上式可得,当 \(2^t\varphi\) 为整数,且满足 \(x=2^t\varphi\) 时,概率幅取最大值1,此时第一寄存器的末态可以精确反映 \(\varphi\);当 \(2^t\varphi\) 不是整数时,\(x\) 为 \(\varphi\) 的估计,且\(t\)越大,估计精度越高。
步骤三
对第一寄存器的量子比特进行测量,得到第一寄存器的末态 \(f=\sum_{x}^{2^t-1}a_x|x\rangle\), \(x=0,1,...,2^t\),从中找到最大的振幅 \(a_{max}\),其对应的本征基矢 \(|x\rangle\) 中的 \(x\) 再除以 \(2^t\) 即为相位的估计值。
QPE代码实现
下面用一个实例来演示如何在MindSpore Quantum实现量子相位估计算法,选择 T 门作为进行估计的幺正算符,由定义
可知需要估计的相位角为 \(\varphi=\frac{1}{8}\)。
现在假设我们不知道 T 门的相位信息,只知道幺正算符 \(U\) 是 T 门且本征态为 \(|1\rangle\) ,接下来我们需要用量子相位估计算法求出其对应的本征值,即需要估计本征值指数上的相位角。
首先导入相关依赖。
[1]:
from mindquantum.core.gates import T, H, X, Power, BARRIER
from mindquantum.core.circuit import Circuit, UN
from mindquantum.simulator import Simulator
from mindquantum.algorithm.library import qft
import numpy as np
UN 可以指定量子门,目标比特和控制比特,从而在线路中搭建门操作; Power 可以得到指定量子门的指数形式。因为我们已知 T 门的本征态为 \(|1\rangle\),所以第二寄存器只需1个比特,而在第一寄存器中的比特数越多,得到的结果就越准确,在这里我们使用4个比特。
因此我们需要搭建5比特线路, \(q_0, q_1, q_2, q_3\) 比特用于估计,属于第一寄存器, \(q_4\) 属于第二寄存器用于传入 \(T\) 算符的本征态。
利用 UN 对 \(q_0, q_1, q_2, q_3\) 进行 Hadamard 门操作, 用 X 门对 \(q_4\) 进行翻转,得到 T 门的本征态 \(|1\rangle\)。
[2]:
# pylint: disable=W0104
n = 4
circ = Circuit()
circ += UN(H, n) # 对前4个比特作用力H门
circ += X.on(n) # 对q4作用X门
circ.svg()
[2]:
以 \(q_4\) 为目标比特,添加控制\(T^{2^i}\)门。
[3]:
# pylint: disable=W0104
for i in range(n):
circ += Power(T, 2**i).on(n, n - i - 1) # 添加T^2^i门,其中q4为目标比特,n-i-1为控制比特
circ.svg()
[3]:
对第一寄存器中的比特进行逆量子傅里叶变换。
[4]:
# pylint: disable=W0104
circ += BARRIER
circ += qft(range(n)).hermitian() # 对前4个比特作用量子傅立叶变换的逆变换
circ.svg()
[4]:
选择后端、传入总比特数创建模拟器,对量子线路进行演化,得到末态。
[5]:
# pylint: disable=W0104
from mindquantum.core.gates import Measure
sim = Simulator('mqvector', circ.n_qubits) # 创建模拟器
sim.apply_circuit(circ) # 用模拟器演化线路
qs = sim.get_qs() # 获得演化得到的量子态
res = sim.sampling(UN(Measure(), circ.n_qubits - 1), shots=100) # 在寄存器1中加入测量门并对线路进行100次采样,获得统计结果
res.svg()
[5]:
需要注意的是,测量结果作为二进制串的读取顺序应为\(|q_0q_1q_2q_3\rangle\),因此我们得到寄存器1的测量结果为0010,概率幅为1,该末态可以精准地反映相位\(\varphi\)。但0010是二进制结果,因此我们将它转回十进制后再除以\(2^n\),就得到了我们最终的估计值:\(\varphi=\frac{2}{2^4}=\frac{1}{8}\)。
我们也可以通过线路演化得到的量子态 qs 找出第一寄存器中振幅最大值 \(a_{max}\) 的位置,进而得到其对应的本征基矢 \(|x\rangle\) ,其中的 \(x\) 再除以 \(2^t\) 即为相位的估计值。
[6]:
index = np.argmax(np.abs(qs))
print(bin(index)[2:])
10100
需要注意的是,qs 对应的是整个量子线路的末态,因此得到的 index 也包含第二寄存器中的比特,不能直接得到第一寄存器末态中 \(a_{max}\) 对应的 \(|x\rangle\) ,需要将 index 转成二进制后将 \(q4\) 对应的比特位剔除,然后得到的才是第一寄存器的 \(|x\rangle\) 。
[7]:
bit_string = bin(index)[2:].zfill(circ.n_qubits)[1:] # 将index转换成01串并剔除q4
bit_string = bit_string[::-1] # 将比特串顺序调整为q0q1q2q3
print(bit_string)
0010
再将二进制转回十进制,得到我们最终的估计值。
[8]:
# pylint: disable=W0104
theta_exp = int(bit_string, 2) / 2**n
theta_exp
[8]:
0.125
可见得到的估计相位和 \(\varphi\) 近似相等。
[9]:
from mindquantum.utils.show_info import InfoTable
InfoTable('mindquantum', 'scipy', 'numpy')
[9]:
| Software | Version |
|---|---|
| mindquantum | 0.9.11 |
| scipy | 1.10.1 |
| numpy | 1.23.5 |
| System | Info |
| Python | 3.9.16 |
| OS | Linux x86_64 |
| Memory | 8.3 GB |
| CPU Max Thread | 8 |
| Date | Sun Dec 31 23:59:31 2023 |
参考文献
[1] Michael A. Nielsen and Isaac L. Chuang. Quantum computation and quantum information